✨Bứt Phá Điểm Số Sat 2 Với 626 Bài Toán Khó – Questions For The Sat Mathematics Level 2 Subject Test










Bứt Phá Điểm Số Sat 2 Với 626 Bài Toán Khó – Questions For The Sat Mathematics Level 2 Subject Test là cuốn sách gồm 626 bài Toán luyện thi dành cho học sinh trung học phổ thông sẽ tham gia kì thi SAT Mathematics Level 2 Subject Test, nhằm ứng tuyển vào nhóm các trường kỹ thuật (cao đẳng và đại học) tại Mỹ. Cuốn sách sẽ hỗ trợ các bạn học sinh có một hồ sơ ứng tuyển hiệu quả với điểm số SAT Mathematics Level 2 Subject Test khả quan nhất.




Sống thông minh - Kiểm soát sự phân tâm trong thời đại số và tận hưởng cuộc sống trọn vẹn Công ty phát hành: Thái Hà Tác giả: Brian Solis Số trang: 348 Nhà
Hành Trình Thức Tỉnh - Tạ Minh Tuấn Hành trình thức tỉnh ghi lại những giác ngộ của tác giả Tạ Minh Tuấn trong hành trình đi tìm lẽ thực, những trăn trở trong tâm
Hòng chạy thoát khỏi một đội quân không khoan nhượng, Todd bế Viola đang trọng thương đến Haven và trao cô ngay vào tay của kẻ thù tồi tệ nhất, thị trưởng Prentiss. Ngay
Combo 2 cuốn: Harvard Bốn Rưỡi Sáng+ Nhà Giả Kim (Kỹ Năng Mềm) 1. Harvard Bốn Rưỡi Sáng Harvard bốn rưỡi sáng sử dụng hình ảnh Harvard như một biểu tượng xuyên suốt, kể lại
Combo 2 cuốn sách kĩ năng - tư duy sống hay: Làm Người Thú Vị + Tự Luyện Cách Tư Duy/ Bộ sách rèn luyện cách tư duy, cách suy nghĩ cho bạn Làm Người
Combo Sách Sống Hết Mình: Khi Bạn Đang Mơ Thì Người Khác Đang Nỗ Lực + Mỗi Lần Vấp Ngã Là Một Lần Trưởng Thành - (Sách Kỹ Nắng Sống / Tặng Kèm Postcard Greenlife)
Đường Đến Nhân Cách ------------ Chúng ta sống trong một xã hội luôn khuyến khích chúng ta phải nghĩ về cách có cơ nghiệp lớn nhưng lại không màng đến việc nhiều người trong chúng
1 MẸO QUẢN LÍ TÀI CHÍNH SAU KẾT HÔN là vấn đề vô cùng quan trọng đối với bất cứ gia đình nào. Để xây dựng được một tổ ấm vững chắc thì các thành
1 TIỀN KHÔNG BAO GIỜ LÀ ĐỦ Tiền không bao giờ là đủ là cuốn sách chiến lược tài chính làm thay đổi nhận thức của bạn về chuyện tiền bạc, rất phù hợp với
Combo Kỹ Năng Sống Dành Cho Tuổi Trẻ: Mỗi Lần Vấp Ngã Là Một Lần Trưởng Thành + Khi Bạn Đang Mơ Thì Người Khác Đang Nỗ Lực (2 Cuốn Sách Tạo Cảm Hứng Hay
Chúng tôi xin gửi đến các bạn đọc combo 2 cuốn sách hay nhất về kĩ năng sống: Sức Mạnh Tiềm Thức + Dám Nghĩ Lớn Sức Mạnh Tiềm Thức Một quyển sách khơi dậy
Combo 2 cuốn sách hay về kĩ năng sống: Trở Thành Người Ảnh Hưởng + Sức Mạnh Tiềm Thức Trở Thành Người Ảnh Hưởng Khi còn bé, bạn muốn sau này lớn lên mình sẽ
Bắt Đầu Với Câu Hỏi Tại Sao? ( Tái Bản ) "Lần đầu tiên khi tôi khám phá ra sức mạnh của lý do TẠI SAO là khi tôi cần đến nó trong cuộc đời
Marketing Theo Phong Cách Sao Kim Marketing theo phong cách sao Kim là đầu sách, công trình nghiên cứu chuyên sâu nhất về khai thác tính nữ trong mỗi khách hàng tiềm năng của chúng
“Thầy cô giáo hạnh phúc sẽ thay đổi thế giới” - bộ sách bạn đang cầm trên tay là một món quà đặc biệt quan trọng - hay nói cách khác là một sự trao
Tâm Lý Học Thành Công
Trí tuệ xúc cảm ứng dụng trong công việc là cuốn sách quản trị kinh doanh không thể bỏ qua cho bất cứ nhà lãnh đạo nào. Cuốn sách chỉ cho ta biết các vấn
Combo 2 Cuốn Giúp Bạn Trẻ Thay Đổi Tư Duy Nhận Thức Thành Công: Dám Bị Ghét + Sức Mạnh Tiềm Thức 1.Dám Bị Ghét Các mối quan hệ xã hội thật mệt mỏi. Cuộc
Diễn thuyết không chỉ là kỹ năng trình bày trước đám đông mà còn là một môn nghệ thuật đầy quyền năng. Với cuốn sách Nghệ thuật diễn thuyết để thành công, tác giả Jerry
Tác giả Carol S Dweck Người Dịch Hồ Hạnh Hảo NXB NXB Lao Động - Xã Hội Năm XB 2018 Trọng lượng (gr) 500 Kích thước 13 x 20.5 Số trang 480 Hình thức Bìa
Sự lên ngôi của content là một điều tất yếu, là xu hướng lâu dài mà không ai có thể đứng ngoài. Dù bạn muốn tiến xa ở bất cứ vị trí nào trong Digital
- Những chia sẻ về phong cách sống, tư tưởng,tư duy của người phụ nữ hiện đại trong công việc và cuộc sống. Bao gồm các nội dung: + Tác giả nói về phong cách
MINH TRIẾT - CON ĐƯỜNG NHÂN SINH Cuốn sách giúp mỗi người hiểu đời, thấu đạo. Con đường mà tất cả nhân sinh đều trải qua: Sơ khai, Lý trí, Thông thái, Hợp nhất. Từng
TIẾNG VỌNG TRONG LÒNG ĐẤT Với thành công từ cuốn sách "Ám ảnh kinh hoàng", tác giả Mike Omer tiếp tục ra mắt bạn đọc Việt Nam cuốn sách thứ hai trong series trinh thám
Flow - Dòng Chảy ------------ Flow - Dòng Chảy
Tư Duy Đa Chiều (Tái Bản) Tư duy đa chiều là một trong nhiều cuốn sách về kỹ năng tư duy sáng tạo của Edward de Bono. Cuốn sách tập trung vào hai câu hỏi
Chiến lược thực tiễn để phát triển đội ngũ và chuyển hóa tổ chức Làm sao để áp dụng thành công phương pháp học tập thông qua hành động? Nói một cách ngắn gọn, học
CHỮA LÀNH NHỮNG SANG CHẤN TUỔI THƠ Hiểu để phục hồi và chữa lành Hàng triệu đứa trẻ phải nếm trải sự ngược đãi và bị bỏ rơi Mỗi năm trên thế giới có
[TẶNG KÈM BOOKMARK NGẪU NHIÊN CHO MỌI ĐƠN HÀNG] /// Du hành trong thế giới nội tâm – Nhật kí viết lách dành cho người hướng nội Thương hiệu: Piccadilly Thể loại: sổ, tâm lí
Tâm Lý Học Đám Đông (Tái Bản 2018) Kể từ khi xuất bản lần đầu tại Việt Nam, cuốn sách này đã được tái bản lại rất nhiều lần. Tác giả Gustave Le Bon (1841
Sales And Marketing Channels - Tạo Kênh Bán Hàng Và Marketing Tạo Kênh Bán Hàng Và Marketing – bộ công cụ thiết yếu giúp bạn lập chiến lược cho những đường dẫn đến thị trường
Đời Ngắn Đừng Khóc Hãy Tô Son Tại sao phải kiếm được thật nhiều tiền? Tại sao phải lấy chồng/lấy vợ ở tuổi hai mấy? Tại sao phải làm việc ở công ty và thăng
Những Quy Tắc Để Giàu Có Tiền bạc và sự giàu có dường như có ma lực vô hình hấp dẫn chúng ta. Có lẽ ai cũng từng một lần mơ ước thành tỷ phú.
Mỗi người chúng ta đều có ước mơ nhưng không phải ai cũng đủ kiên trì và dũng cảm để biến ước mơ của mình thành hiện thực. Khi còn nhỏ, chúng ta ước mơ
Bản Giao Hưởng Cuộc Sống - Những câu chuyện truyền cảm hứng hay nhất Đời người như một bản nhạc có thăng, có trầm. Đứng trước những khó khăn trong cuộc sống, có người bình
Chiếc Lexus & Cây Ôliu (Tái Bản 2020) Trong cuốn Chiếc Lexus Và Cây Ô Liu, Thomas L. Friedman, người từng đoạt giải Pulitzer, bình luận viên quan hệ quốc tế của The New York
Bộ 2 cuốn sách dạy cách sống: Học Cách Sống - Sống Ảo, Ảo Bao Nhiêu Cho Vừa - Học Cách Sống “Học cách sống, học đừng sợ một cách vô bổ nữa những diện
1. Rèn Luyện Tư Duy Phản Biện Những người khác có thể đưa ra những góc nhìn khác mà bạn có thể chưa bao giờ nghĩ tới, và họ có thể chỉ ra những lỗ
THE ONE THING - ĐIỀU Ý NGHĨA NHẤT TRONG TỪNG KHOẢNH KHẮC CUỘC ĐỜI Bạn muốn ít sự sao nhãng. Bạn muốn ít sự lựa chọn. Hàng ngày, bạn phải trả lời cả đống thư
Nếu xem cơ thể là một ngôi nhà, xương chậu chính là nền móng của ngôi nhà ấy. Xương chậu là bộ phận quan trọng để nâng đỡ toàn bộ cơ thể và là “chìa
Đừng Bán Khi Chưa Được Giá Bạn có muốn xây dựng một doanh nghiệp phát triển vượt trội mà vẫn được tự do tự tại sống theo ý mình? Bạn có muốn tạo dựng một
Combo Đắc Nhân Tâm + Khéo Ăn Nói Sẽ Có Được Thiên Hạ (Tặng kèm vở TIKI) Tại sao luôn trong Top sách bán chạy nhất thế giới? Bởi vì đó là cuốn sách mọi người
1. Bắt Đầu Với Câu Hỏi Tại Sao? ( Tái Bản ) "Lần đầu tiên khi tôi khám phá ra sức mạnh của lý do TẠI SAO là khi tôi cần đến nó trong cuộc đời
Sống Không Cần Tiền (Tập 1): Người Đi Ngược Dòng Không có tiền, làm sao sống!? Bạn nghĩ thế, ai ai cũng nghĩ thế. Tuy nhiên với Mark Boyle: "Tiền là cái sẽ đẩy
Nghĩ Lớn Để Thành Công Hai trong số các thành đạt nhất thế giới đã tiết lộ bí quyết suy nghĩ lớn để đạt được những thành công ngoạn mục.Hãy áp dụng quan điểm của Donald
Combo Sách Kỹ Năng Sống: Sống Thực Tế Giữa Đời Thực Dụng + Đừng Lựa Chọn An Nhàn Khi Còn Trẻ .Combo sách tuyệt vời phản ánh cuộc sống hiện đại mà bạn không nên
Nghĩ Ngược Lại Và Làm Khác Đi (Tái Bản 2018) Paul Arden, tác giả của nhiều cuốn sách bán chạy trên thế giới, là Giám đốc điều hành sáng tạo tại Saatchi & Saatchi. Thế
Combo Dám Nghĩ Nhỏ Và Dám Thành Công ( Tặng sổ tay) 1. Dám nghĩ nhỏ - Đường xa đi từng bước - Chuyện lớn nghĩ từng phần - Có bao giờ bạn chán nản
Luật Hấp Dẫn Bí Mật Tối Cao (Tái Bản) Từ khi sinh ra, con người đã mang trong mình những cảm xúc, khả năng suy nghĩ, tư duy, đã biết ước mơ và luôn mong muốn
Phác Đồ Khởi Nghiệp Theo Đường Cong J – Sáu Bước Đưa Doanh Nghiệp Tới Thành Công Các doanh nhân đã đọc bản thảo sớm của "Phác đồ khởi nghiệp theo Đường Cong J" đã
Combo 2 Cuốn Sách Hay: Nếu Tôi Biết Được Khi Còn 20 (Tái Bản) + 999 Lá Thư Gửi Cho Chính Mình - Mong Bạn Trở Thành Phiên Bản Hạnh Phúc Nhất (Phần 2) /
1. Tuổi Trẻ Không Bao Giờ Quay Lại - Tuyển Chọn Những Câu Chuyện Hay Nhất Trong cuộc sống của mỗi người, có những con đường đi qua không nhớ nổi tên, có những hành
Combo Sách Kỹ Năng Sống Hay: Ba Người Thầy Vĩ Đại + Bắt Đầu Với Câu Hỏi Tại Sao? - Tặng Kèm Bookmark Green Life Những cuốn sách về kỹ năng đáng đọc nhất của
Combo 2 Cuốn Sách Tư Duy - Kỹ Năng Sống Số Một: Càng Độc Lập Càng Cao Quý + Sống Thực Tế Giữa Đời Thực Dụng (Tặng Kèm Bookmark Happy Life) 1. Càng Độc Lập
Combo Lạc Giữa Tần Số Không Người Nghe + Một Cuốn Sách Trầm Cảm (Bộ 2 Cuốn) 1. Lạc Giữa Tần Số Không Người Nghe Có những đứa trẻ luôn cảm thấy bản thân
Combo sách kỹ năng hay : Nếu tôi biết khi còn 20 + Chiến thắng con quỷ trong bạn - Tặng kèm bookmark PĐ Nếu Tôi Biết Được Khi Còn 20 gần gũi với những
Combo 2 Cuốn Sách Kỹ Năng Sống Tích Cực : Nếu Tôi Biết Được Khi Còn 20 + 999 Lá Thư Gửi Cho Chính Mình - Mong Bạn Trở Thành Phiên Bản Hạnh Phúc Nhất
Combo Giáo Trình Cơ Sở Mỹ Thuật Dành Cho Sinh Viên Kiến Trúc (3 tập) Phương pháp vẽ bằng chất liệu bút chì, bổ sung nhiều nội dung mang tính chất khái quát, đầy đủ
Cuộc Phiêu Lưu Của Ngôn Ngữ Anh: Tiểu Sử Anh Ngữ Từ Năm 500 Đến Năm 2000 Từ khởi đầu là một phương ngữ được khoảng 150.000 người sử dụng, ngôn ngữ Anh đã xoay
Combo Lời Của Nietzsche Cho Người Trẻ (Bộ 2 Cuốn) Trong làng triết học phương Tây, Nietzsche có lẽ là một trường hợp hiếm hoi không khiến cho người ta phải sợ hãi [vì trừu
👁️ 99 | ⌚2025-09-29 18:03:19.235
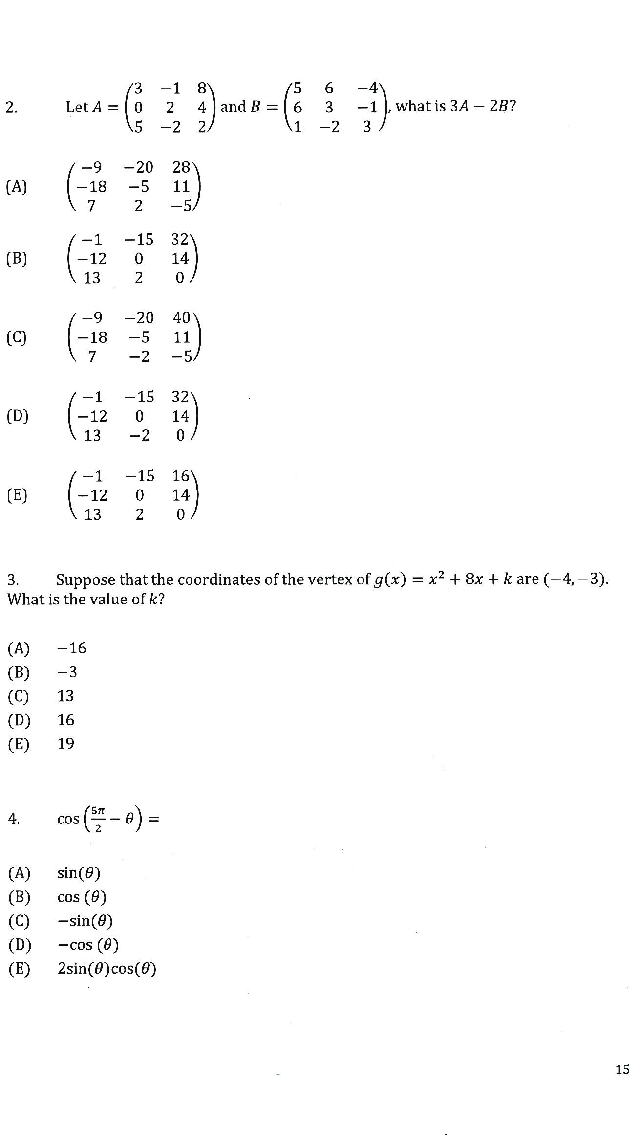
Chữa đề thi SAT Math tháng 8 năm 2025
GIẢI THỬ ĐỀ TOÁN SAT TRONG 10 PHÚT II SAT Khó Hay Dễ? II Thư's Diary
15 Câu SAT Math Khó Nhất trong 8 Đề SAT Chính Thức Năm 2019
SAT Subject Mathematics Level 2 - The Official SAT Subject Test Study Guide (Practice Test 2)
The Hardest Problem on the SAT📚 | Algebra | Math
SAT Math is SO EASY🤯

Chữa đề thi SAT Math tháng 8 năm 2025
GIẢI THỬ ĐỀ TOÁN SAT TRONG 10 PHÚT II SAT Khó Hay Dễ? II Thư's Diary
15 Câu SAT Math Khó Nhất trong 8 Đề SAT Chính Thức Năm 2019
SAT Subject Mathematics Level 2 - The Official SAT Subject Test Study Guide (Practice Test 2)
The Hardest Problem on the SAT📚 | Algebra | Math
SAT Math is SO EASY🤯

Chất Vải Tici , Mát, Ít Nhăn, Cổ Áo Chui BÁN LẺ GIÁ SỈ Chú Ý Khi Đặt Hàng Nhớ Chọn Lấy Mã Miễn Phí Vận Chuyển Và Áp Dụng Mã Miễn Phí Vận Chuyển
️BẠN MUỐN CÓ MỘT TRANG PHỤC PHÙ HỢP KHI ĐI LỄ CHÙA ??? Có Đủ Các Mẫu Mới Nhất Hiện Nay Đáp Ứng Mọi Yêu Cầu Của Bạn : Đẹp và Chất Lượng Vải Loại
Mẫu đồ Lam SIZE 2 : Cao : 1m5 - 1m6 Nặng : 45kg - 55kg SIZE 3 : Cao : 1m6 - 1m7 Nặng : 55kg - 65kg SIZE 4 : Cao : 1m7
️BẠN MUỐN CÓ MỘT TRANG PHỤC PHÙ HỢP KHI ĐI LỄ CHÙA ??? Có Đủ Các Mẫu Mới Nhất Hiện Nay Đáp Ứng Mọi Yêu Cầu Của Bạn : Đẹp và Chất Lượng Vải Loại
BÁN LẺ GIÁ SỈ Chú Ý Khi Đặt Hàng Nhớ Chọn Lấy Mã Miễn Phí Vận Chuyển Và Áp Dụng Mã Miễn Phí Vận Chuyển Bạn Nhé !! Hàng Shop Gửi Đi Cho Khách Gói
Kích Thước Mẫu Lãnh Tụ Đo Trực Tiếp Lên Áo Và Quần,Các Bạn Xem Chi Tiết Đo Này Đễ Chọn Size Chính Xác Hơn Ah. Size 1 Đo Từ Vai Xuống Vạc Áo 69cm; Quần
Thành phần Dầu khoáng chất, trilsononaoin, cetearyl ethylhexanoat, isopropyl myristat, vitamin A, tinh dầu hạt hướng dương, vitamin E, tinh dầu cúc la mã, tinh dầu oải hương, tinh dầu lá hương thảo, chiết xuất
Bình đựng dầu ăn thủy tinh LocknLock 550ml CKO208, Hàng chính hãng, nắp mở tự động, miệng bình rộng - JoyMall - Thương hiệu: Chính hãng LocknLock - Mã SP: CKO208IVY: màu ngà / CKO208GRY:
Cuốn Sách Về Tâm Lý Kỹ Năng Sống Hay- I'm OK You're OK - Tôi Ổn Bạn Ổn I’m Ok – You’re Ok xuất bản lần đầu tiên năm 1969, liên tục giữ vị trí
The Wedding Planner A day to remember . . . Faith Ferguson is one of New York’s most sought after wedding planners. Realizing dreams and making magic happen are part of why Faith loves her
Hộp 24 Bút Lông Màu Acrylic Markers 2 Đầu - Colokit ACM-C002 với thiết kế đầu BROAD tiện lợi và đầu BRUSH linh hoạt đáp ứng được đa dạng nhu cầu sử dụng. Bút màu
Giá bộ: 228.000 VNĐ ------------- Công ty phát hành: First News Tác giả: Karen Casey Ngày xuất bản: 2020 Kích thước: 14.5 x 20.5cm Nhà xuất bản: Nhà Xuất Bản Tổng hợp TP.HCM Loại bìa:
Sống thông minh - Kiểm soát sự phân tâm trong thời đại số và tận hưởng cuộc sống trọn vẹn Công ty phát hành: Thái Hà Tác giả: Brian Solis Số trang: 348 Nhà
Bạn có đang gặp khó khăn với bất kỳ điều nào sau đây? - Tập trung - Sự trì hoãn - Sự lo lắng - Lòng tự trọng - Hay quên - Khả năng sáng
“Hành trình nhân loại: Nguồn gốc của thịnh vượng và bất bình đẳng” được viết bởi Oded Galor - một trong những nhà kinh tế có ảnh hưởng nhất trong lĩnh vực tăng trưởng
Hành Trình Thức Tỉnh - Tạ Minh Tuấn Hành trình thức tỉnh ghi lại những giác ngộ của tác giả Tạ Minh Tuấn trong hành trình đi tìm lẽ thực, những trăn trở trong tâm
Combo Hành Tinh Của Một Kẻ Nghĩ Nhiều + Vẻ Đẹp Của Sự Cô Đơn (Bìa Mềm) (Bộ 2 Cuốn) 1. Hành Tinh Của Một Kẻ Nghĩ Nhiều “Đó là mùa hè năm 2020, mùa
Combo Thay Câu Hỏi - Đổi Cuộc Đời + Khi Ta Thay Đổi Thế Giới Sẽ Đổi Thay (Bộ 2 Cuốn) 1. Thay Câu Hỏi - Đổi Cuộc Đời Thay Câu Hỏi - Đổi Cuộc
Bộ sách "Chơi cờ vua cùng bé" gồm 3 cuốn: 1. “CỜ VUA – NHỮNG BƯỚC ĐI ĐẦU TIÊN CỦA KIỆN TƯỚNG” là một tài liệu tuyệt vời với hơn 80 chủ đề cơ bản, từ
Giá bộ: 206.000 VNĐ -------------- 1. HÀNH TRÌNH VỀ PHƯƠNG ĐÔNG Tác Giả: Nhiều tác giả Công ty phát hành: First News - Trí Việt Ngày phát hành: 2022 Số trang: 256 Kích thước: 14.5