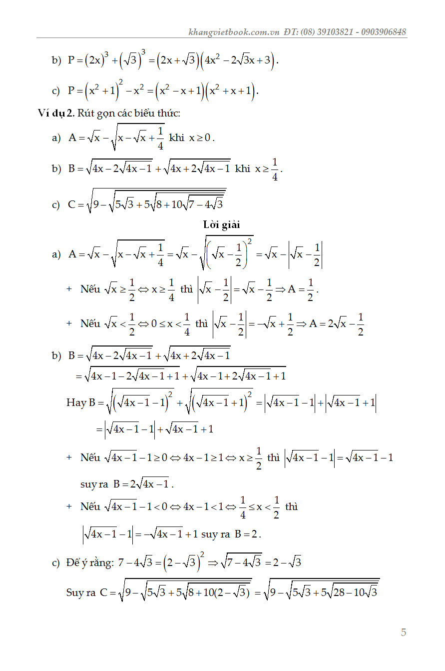
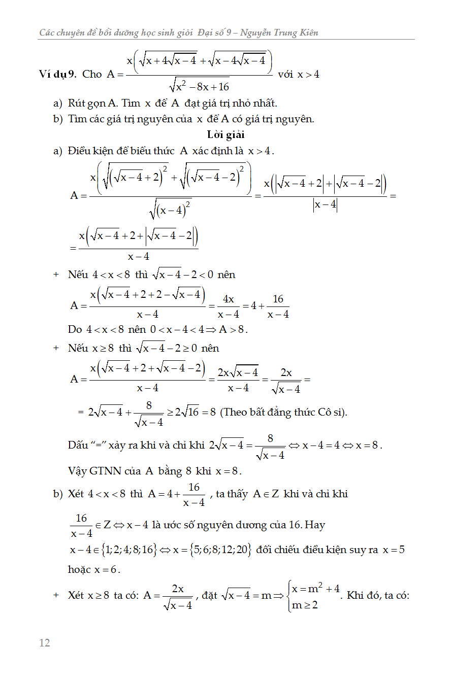
✨Các Chuyên Đề Bồi Dưỡng Học Sinh Giỏi Đại Số Lớp 9

Các Chuyên Đề Bồi Dưỡng Học Sinh Giỏi Đại Số Lớp 9 Đại số là mảng kiến thức rất quan trọng trong toán học phổ thông. Nhằm giúp các em học sinh lớp 9 ôn thi vào lớp 10 THPT cũng như các em học sinh c...

mua sản phẩm tại Shopee Mua tại Shopeemua sản phẩm tại TikiMua tại Tikimua sản phẩm tại LazadaMua tại Lazadamua sản phẩm tại TiktokMua tại Tiktok
Các Chuyên Đề Bồi Dưỡng Học Sinh Giỏi Đại Số Lớp 9Các Chuyên Đề Bồi Dưỡng Học Sinh Giỏi Đại Số Lớp 9Các Chuyên Đề Bồi Dưỡng Học Sinh Giỏi Đại Số Lớp 9Các Chuyên Đề Bồi Dưỡng Học Sinh Giỏi Đại Số Lớp 9Các Chuyên Đề Bồi Dưỡng Học Sinh Giỏi Đại Số Lớp 9Các Chuyên Đề Bồi Dưỡng Học Sinh Giỏi Đại Số Lớp 9Các Chuyên Đề Bồi Dưỡng Học Sinh Giỏi Đại Số Lớp 9Các Chuyên Đề Bồi Dưỡng Học Sinh Giỏi Đại Số Lớp 9Các Chuyên Đề Bồi Dưỡng Học Sinh Giỏi Đại Số Lớp 9Các Chuyên Đề Bồi Dưỡng Học Sinh Giỏi Đại Số Lớp 9Các Chuyên Đề Bồi Dưỡng Học Sinh Giỏi Đại Số Lớp 9Các Chuyên Đề Bồi Dưỡng Học Sinh Giỏi Đại Số Lớp 9Các Chuyên Đề Bồi Dưỡng Học Sinh Giỏi Đại Số Lớp 9Các Chuyên Đề Bồi Dưỡng Học Sinh Giỏi Đại Số Lớp 9Các Chuyên Đề Bồi Dưỡng Học Sinh Giỏi Đại Số Lớp 9Các Chuyên Đề Bồi Dưỡng Học Sinh Giỏi Đại Số Lớp 9Các Chuyên Đề Bồi Dưỡng Học Sinh Giỏi Đại Số Lớp 9Các Chuyên Đề Bồi Dưỡng Học Sinh Giỏi Đại Số Lớp 9Các Chuyên Đề Bồi Dưỡng Học Sinh Giỏi Đại Số Lớp 9

Các Chuyên Đề Bồi Dưỡng Học Sinh Giỏi Đại Số Lớp 9

Đại số là mảng kiến thức rất quan trọng trong toán học phổ thông.

Nhằm giúp các em học sinh lớp 9 ôn thi vào lớp 10 THPT cũng như các em học sinh chuyên Toán có một tài liệu mang tính hệ thống để ôn luyện, nâng cao kiến thức kỹ năng giải toán và đạt kết quả cao nhất trong các kỳ thi Học sinh giỏi, kỳ thi Tuyển sinh vào lớp 10  cũng như thi vào các lớp chuyên, tôi biên soạn cuốn: “Các chuyên đề bồi dưỡng học sinh giỏi đại số 9’’.

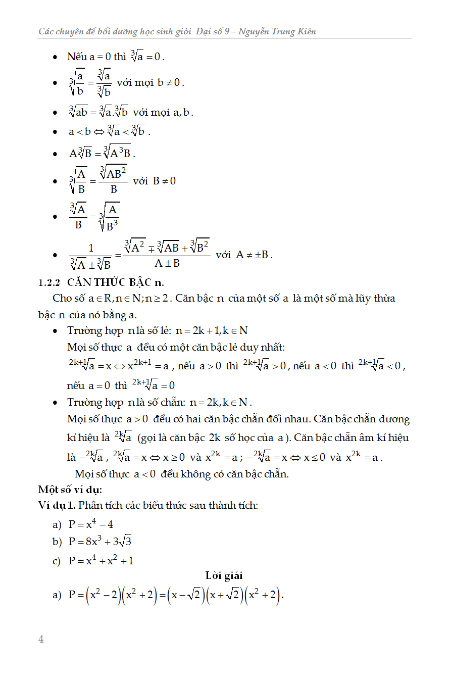
Nội dung cuốn sách được chia làm 9 chủ đề

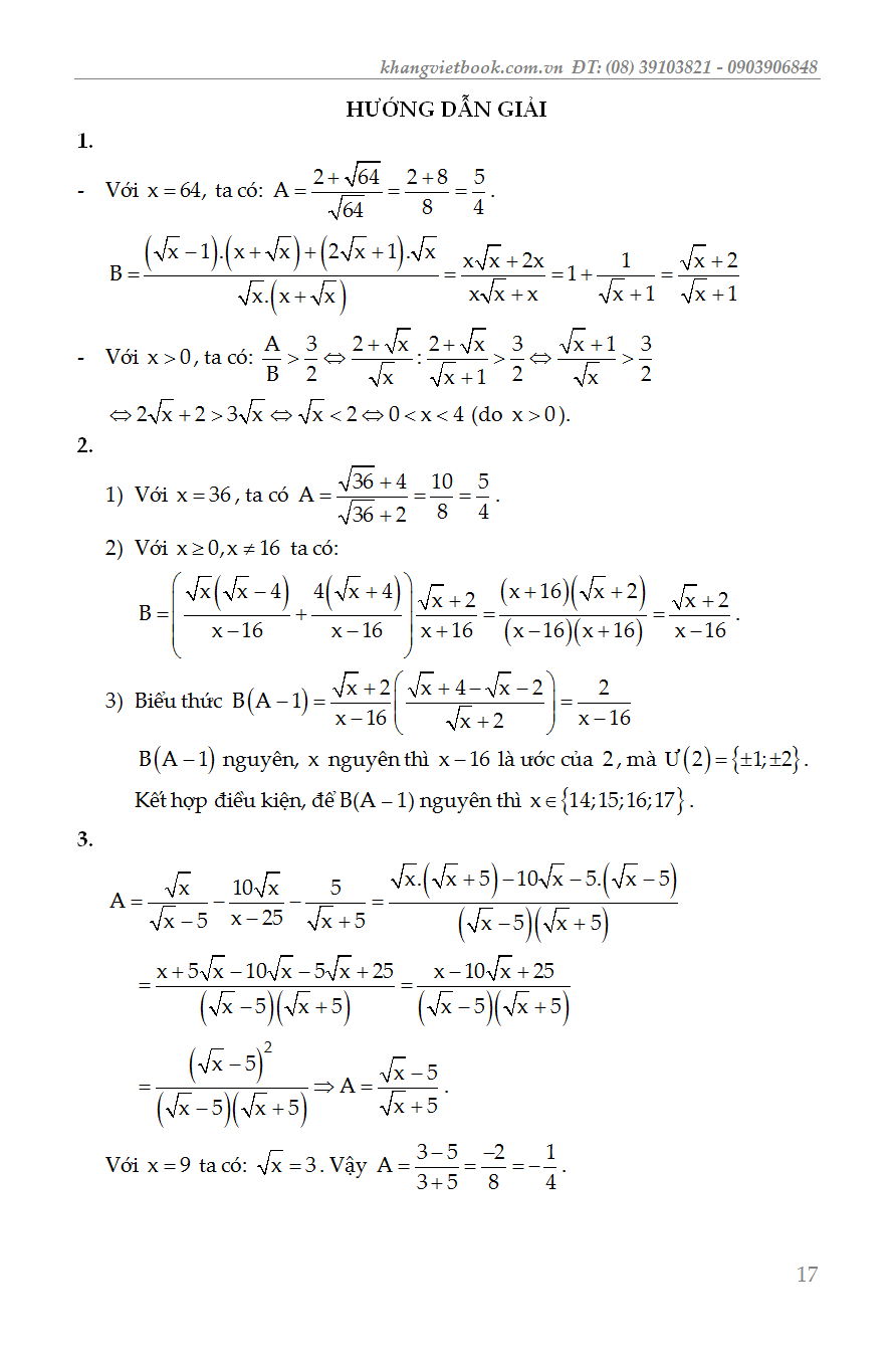
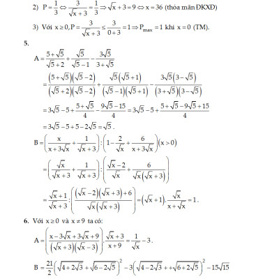
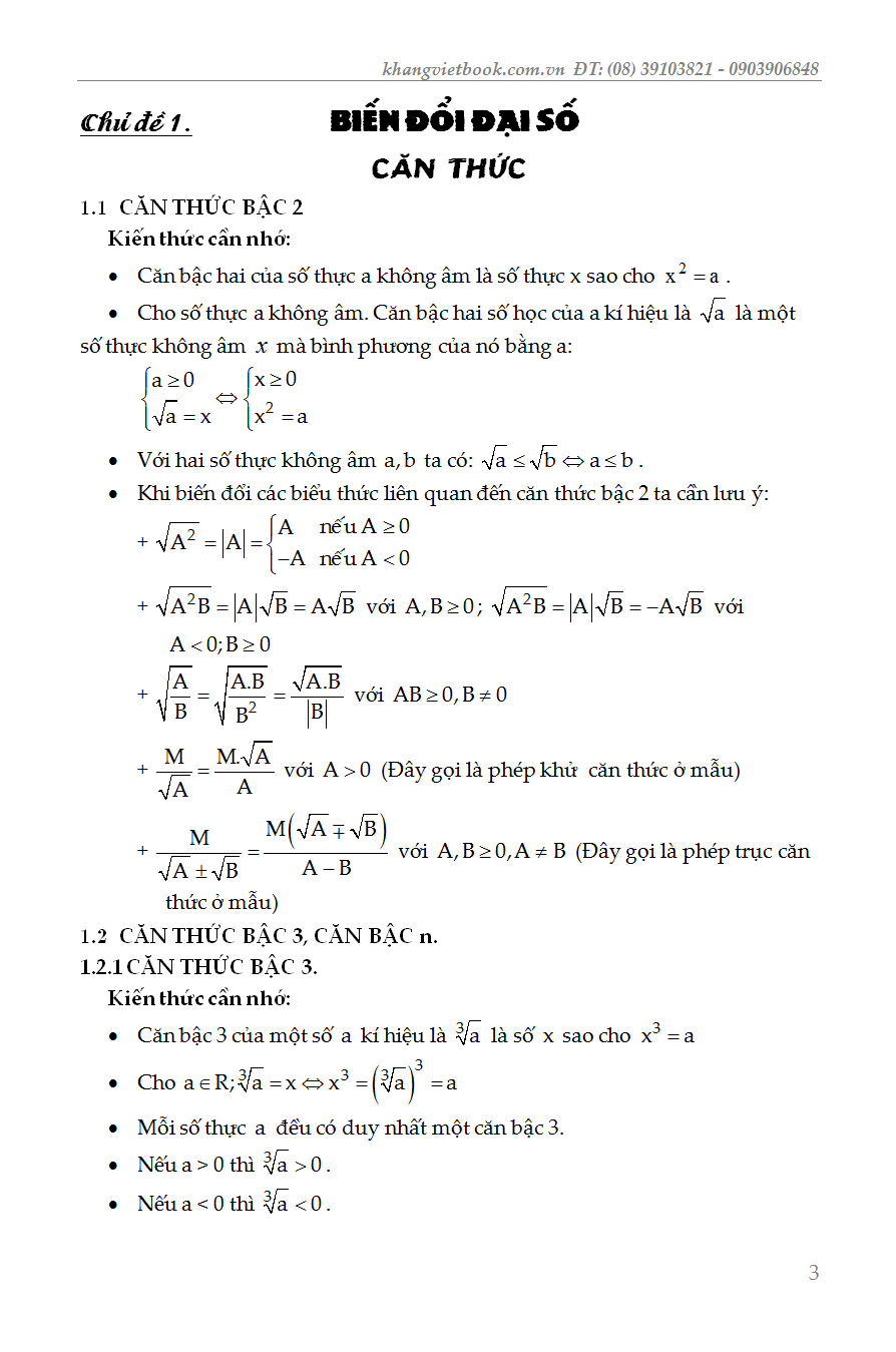
Chủ đề  1. Biến đổi đại số.

Chủ đề  2. Hàm số bậc nhất, Hàm số bậc 2

Chủ đề  3. Hệ phương trình bậc nhất hai ẩn.

Chủ đề  4. Giải bài toán bằng cách lập phương trình, hệ phương trình.

Chủ đề  5. Phương trình đại số.

Chủ đề  6. Phương trình vô tỷ

Chủ đề  7. Hệ phương trình.

Chủ đề  8. Bất đẳng thức.

Chủ đề  9. Các đề toán ôn tập tổng hợp.

Trong mỗi phần, tôi luôn cố gắng hệ thống phương pháp, phân tích, định hướng cách giải, cuối mỗi phần đều có bài tập rèn luyện để các em học sinh thử sức.

mua sản phẩm tại Shopee Mua tại Shopeemua sản phẩm tại TikiMua tại Tikimua sản phẩm tại LazadaMua tại Lazadamua sản phẩm tại TiktokMua tại Tiktok
Khoa Học Ăn Được Không? - Tìm Hiểu Về Những Kiến Thức Khoa Học Ẩn Giấu Trong Thức Ăn Nhà xuất bản : Nhà Xuất Bản Hà Nội. Công ty phát hành : Đinh Tị
Một Ngày Trong Đời Của Con Lười, Con Ngươi Và Con Người Nhà xuất bản : Nhà Xuất Bản Kim Đồng. Công ty phát hành : NXB Kim Đồng. Tác giả : Jess Bradley. Kích
Một Ngày Trong Đời Của Người Hang, Nữ Hoàng Và Anh Em Họ Hàng Nhà xuất bản : Nhà Xuất Bản Kim Đồng. Công ty phát hành : NXB Kim Đồng. Tác giả : Jess
Khi bạn có tiền trong tay, chỉ có bạn quên mất mình là ai. Nhưng…Khi bạn không có đồng nào, cả thế giới sẽ quên đi bạn là ai. Đó là cuộc sống! Vì cuộc
Có người hỏi rằng: “ Ngày nào tôi cũng rất cố gắng, nhưng sao cảm giác lại chẳng khác những người lười biếng là bao?” Mỗi ngày chúng ta tiến bộ một chút chính là
Đừng Làm Việc Chăm Chỉ - Hãy Làm Việc Thông Minh Thành công là học cách làm việc THÔNG MINH hơn chứ không phải CHĂM CHỈ hơn! Những người thành công thường chỉ tập trung
Hạnh phúc là con đường (Từ chuyển hóa nội tâm đến cải tiến xã hội - Vì một xã hội nhân ái) “Tổng Hạnh phúc Quốc gia quan trọng hơn Tổng Sản phẩm Quốc nội.”
Phẩm Giá Quý Cô - Giao Tiếp Thông Minh, Ứng Xử Thanh Lịch - Bìa Cứng Hầu hết mọi người đều cho rằng một quý cô phải ăn mặc như thể cô ấy bước ra
Muối - Sự Hồi Sinh Nơi Sâu Thẳm Vụn Vỡ Tác giả: Tôn Tần Dịch giả: Từ Bích Diệp Số trang: 448 trang Kích thước: 14,5 x 20,5 cm Đơn vị phát hành: Seabooks Nhà
Combo Sách You Can - Không Gì Là Không Thể + You Can Win - Bí Quyết Người Chiến Thắng (Bộ 2 Cuốn) 1. You Can Win - Bí Quyết Người Chiến Thắng Với cách
Nhảy Moonwalk Cùng Einstein Nhà xuất bản : Nhà Xuất Bản Thế Giới. Công ty phát hành : Alphabooks. Tác giả : Joshua Foer. Kích thước : 16 x 24 cm. Số trang : 323.
Nhà xuất bản : Nhà Xuất Bản Thế Giới. Công ty phát hành : Berry Books. Tác giả : Bom-Ssok. Kích thước : 14 x 20.5 cm. Số trang : 240. Ngày xuất bản :
Suy Nghĩ Thống Kê Trong Đời Thường Tôi rất hân hạnh giới thiệu đến bạn đọc một cuốn sách mới của tôi. Cuốn sách có tựa đề là “Suy nghĩ thống kê trong đời thường”
5 phút nắm trọn tâm lý học công sở là cuốn sách đặc biệt viết tặng dân công sở, giúp các bạn bách chiến bách thắng, bất khả chiến bại nơi công sở! Muốn đạt
Tác giả: RANSOM RIGGS Dịch giả: Đoàn Thị Thanh Mai Nhà xuất bản: Hội nhà văn Số trang: 510 Kích thước: 14x20.5cm Ngày phát hành: 12-2021 “Một trải nghiệm văn chương giàu hình ảnh.” —The
Phẩm Giá Quý Cô - Trở Thành Nữ Hoàng Trên Bàn Tiệc Nhà xuất bản : Nhà Xuất Bản Dân Trí. Công ty phát hành : Skybooks. Tác giả : Sheryl Shade. Kích thước :
Điều gì sẽ xảy ra khi ta luôn làm mọi thứ đến nơi đến chốn? Ta sẽ đạt được thành công gì nếu luôn tập trung 100% vào công việc? Nếu ta thực sự sở
Phi Lý Trí (Tái bản năm 2021) Nhà xuất bản : Nhà Xuất Bản Lao động. Công ty phát hành : Alphabooks. Tác giả : Dan Ariely. Kích thước : 13 x 20.5 cm. Số
Đi tìm lẽ sống của Viktor Frankl là một trong những quyển sách kinh điển của thời đại. Thông thường, nếu một quyển sách chỉ có một đoạn văn, một ý tưởng có sức mạnh
Hãy chiếm thế thượng phong trong việc chủ động nhận biết điều cần tìm kiếm - ở bất kỳ ai bằng cách “thâm nhập vào suy nghĩ” của người khác. ĐỌC VỊ BẤT KỲ AI
Nếu Thiếu Vắng Tình Thương Của C Đối với chủ đề “người cha” có lẽ cũng khá quen thuộc, thế nhưng qua 3 phần, tương ứng 13 chương của cuốn sách này chắc chắn sẽ
Jim Collins là tác giả của hai đầu sách nổi tiếng - Từ tốt đến vĩ đại và Xây dựng để trường tồn. Cùng với phương pháp nghiên cứu như hai cuốn đầu tiên, trong
Tác giả: Emily Barr Dịch giả: Hiểu Tường Nhà xuất bản: Hà Nội Số trang: 432 Kích thước: 14x20.5 cm Ngày phát hành: 06-2022 “Vừa làm nổi bật khung cảnh sống mới đầy mê say
Phẩm Giá Quý Cô - Giao Tiếp Thông Minh, Ứng Xử Thanh Lịch Nhà xuất bản : Nhà Xuất Bản Dân Trí. Công ty phát hành : Skybooks. Tác giả : Sheryl Shade. Kích thước
Bộ sản phẩm bao gồm: 20 Đầu béc phun sương 01 Ống mềm 25m 01 Đầu chuyển gắn ống THÔNG TIN SHOP Sản phẩm này là tài sản cá nhân được bán bởi Nhà Bán
- Bộ dụng cụ khoét lỗ 16 chi tiết là sản phẩm chuyên dụng để khoan khoét lỗ trên bề mặt gỗ và thạch cao. Sản phẩm hỗ trợ cho người sử dụng có thể
Combo Sách You Can Không Gì Là Không Thể + Nghĩ Giàu Và Làm Giàu (Bộ 2 Cuốn) 1. Nghĩ Giàu Và Làm Giàu Think and Grow Rich - Nghĩ giàu và làm giàu là
TINH THẦN TỰ LỰC Những tấm gương về phẩm hạnh và lòng kiên trì SAMUEL SMILES (1812 – 1904) là nhà cải cách chính trị-văn hóa-xã hội lỗi lạc người Anh. Từ 1837, ông bắt
Công ty phát hành: Zenbooks Tác giả: Chin-Ning Chu Năm xuất bản: 2021 Kích thước 14.5 x 20.5 Dịch Giả Trần Lan Anh, Trần Thị Thùy Trang, Vũ Thái Hà Loại bìa Bìa mềm Số
Muối - Sự Hồi Sinh Nơi Sâu Thẳm Vụn Vỡ Tác giả: Tôn Tần Dịch giả: Từ Bích Diệp Số trang: 448 trang Kích thước: 14,5 x 20,5 cm Đơn vị phát hành: Seabooks Nhà
  Khi Kẻ Tàn Ác Thường Sống Thảnh Thơi… KHI KẺ TÀN ÁC THƯỜNG SỐNG THẢNH THƠI… Làm sao để chúng ta đối phó với những kẻ thích vượt quá giới hạn? Đẩy người khác
Tác giả: Ogura Hiroshi Người dịch: An Ly THÔNG TIN XUẤT BẢN: Kích thước khổ: 13x19 Số Trang: 272 Giá bìa: 149.000 vnđ Mã EAN: 8936066692755 NXB liên kết: NXB Lao Động Sách do Công
Tác giả: RANSOM RIGGS Dịch giả: Đoàn Thị Thanh Mai Nhà xuất bản: Hội nhà văn Số trang: 510 Kích thước: 14x20.5cm Ngày phát hành: 12-2021 “Một trải nghiệm văn chương giàu hình ảnh.” —The
Jim Collins là tác giả của hai đầu sách nổi tiếng - Từ tốt đến vĩ đại và Xây dựng để trường tồn. Cùng với phương pháp nghiên cứu như hai cuốn đầu tiên, trong
Tác giả: Emily Barr Dịch giả: Hiểu Tường Nhà xuất bản: Hà Nội Số trang: 432 Kích thước: 14x20.5 cm Ngày phát hành: 06-2022 “Vừa làm nổi bật khung cảnh sống mới đầy mê say
30 Giây Khoa Học - 30 Giây Khoa Học Dữ Liệu Khoa học dữ liệu (Data science) là một hệ sinh thái nhân tạo mới trong kỉ nguyên thông tin hiện đại, bao gồm từ
Bạn muốn định nghĩa thế nào về “Sáng tạo”? Với cuốn sách mới nhất mang tên Có Cách - Nuôi Dưỡng Sự Sáng Tạo Từ Niềm Tin Có Cách, tác giả Hoàng Nguyễn và RIO
Giải Mã Vận Mệnh - Chìa Khóa Để Hiểu Rõ Số Phận Có lẽ, ai cũng mong muốn thấy trước vận mệnh cuộc đời và làm chủ được số phận của m.ình. Muốn làm được
Từ ngày ấy, Đắc Nhân Tâm trở thành cuốn sách không-chịu-nằm-yên-trên-kệ. Ngoài ý được tái bản liên tục ở khắp nơi trên thế giới, thì cụm từ này còn có một ý khác, đó là
Quẳng Gánh Lo Đi Và Vui Sống là cuốn sách mà cái tên đã nói lên tất cả nội dung chuyển tải trên những trang giấy. Bất kỳ ai đang sống đều sẽ có những
Tác giả: The Japan Foundation NXB: NXB Đại học Quốc gia TP Hồ Chí Minh Công ty phát hành: First News - Trí Việt Số trang: 168 Kích thước: 20.5 x 28.5 cm. Năm xuất
Hãy chiếm thế thượng phong trong việc chủ động nhận biết điều cần tìm kiếm - ở bất kỳ ai bằng cách “thâm nhập vào suy nghĩ” của người khác. ĐỌC VỊ BẤT KỲ AI
Bộ Sách Không Chiến Thắng Thì Không Thể Sinh Tồn + Đại Bàng Có Khi Bay Thấp Hơn Gà + Mở Đường Cho Mình (Bộ 3 Cuốn)
Đừng do dự và hãy hành động. Bạn đã muốn thử điều gì đó từ lâu, song dường như có đủ dũng khí để thực hiện? Dù việc bạn muốn là mời người quen đi
Quẳng Gánh Lo Đi Và Vui Sống là cuốn sách mà cái tên đã nói lên tất cả nội dung chuyển tải trên những trang giấy. Bất kỳ ai đang sống đều sẽ có những
Trái Tim Không Mang Mặt Nạ Nhà xuất bản : Báo Sinh Viên VN - Hoa Học Trò. Công ty phát hành : Báo Sinh Viên VN - Hoa Học Trò. Tác giả : Nhiều
Đi tìm lẽ sống của Viktor Frankl là một trong những quyển sách kinh điển của thời đại. Thông thường, nếu một quyển sách chỉ có một đoạn văn, một ý tưởng có sức mạnh
Bạn Sinh Ra Không Phải Để Chịu Khổ Nhà xuất bản : Nhà Xuất Bản Thanh Hóa. Công ty phát hành : Văn Lang. Tác giả : Blake D. Bauer. Kích thước : 13.5 x
Quẳng Gánh Lo Đi Và Vui Sống là cuốn sách mà cái tên đã nói lên tất cả nội dung chuyển tải trên những trang giấy. Bất kỳ ai đang sống đều sẽ có những
Sống Mãnh Liệt - Chúng Ta Có Thể Học Được Gì Từ Những Người Khuyết Tật Thành Công? Sống Mãnh Liệt - Cuốn sách mới nhất của Rainer Zitelmann khám phá cách những người khuyết
QUẢN TRỊ CẢM XÚC Nhận ra và tìm lại sức mạnh của bản thân Hạnh phúc và sức khỏe mới thực là của cải giá trị nhất Tất cả chúng ta hoàn toàn có thể
Trí Tuệ Siêu Việt Của Người Do Thái (Tái Bản 2023) Thương gia Do Thái luôn hờ hững với chiến lược “bán nhiều lời ít”. Họ cho rằng trong chiến lược kinh doanh linh hoạt,
39 Đoản Thiền Để Thấy - Những Câu Chuyện Chữa Lành Mã EAN 8935244899108 Mã Kim Đồng 5231300010105 Tác giả Phan Đăng Giá bìa 69.000 Loại bìa Mềm Khổ 14,5x20,5 cm Số trang 152 Quà
Tên sản phẩm: Sách Bizbooks - Nâng tầm - 5 Bước chuyển mình cho doanh nghiệp của bạn - Bizbooks Lưu ý: Chỉ có sách chính hãng của Bizbooks mới có thể quét mã QR-code
04 cuốn tớ đến với khoa học là một trong bốn chủ đề của bộ sách Tớ đến với: Đa dạng thực vật Đời sống động vật Vật liệu quanh em Thời tiết và các
Bạn có biết, định kiến giới là một trong những thứ định kiến lâu đời nhất, dai dẳng nhất, và để lại nhiều hệ lụy nhất? Không chỉ ở Việt Nam mà trên khắp thế
Công ty phát hành: First News - Trí Việt Tác giả: Nhiều tác giả Ngày xuất bản: 2019 Kích thước: 14.5 x 20.5 cm Nhà xuất bản: NXB Tổng hợp Loại bìa: Bìa mềm Ngôn
Thế Giới Khoái Hoạt Của Trầm Cảm Không phải lúc nào tôi cũng đọc phần Lời Nói Đầu của sách, thế nên tôi quyết định sẽ đặt cho phần Lời Nói Đầu của m.ình cái
Thao Túng Tâm Lý Trong Giao Tiếp Nhà xuất bản : Nhà Xuất Bản Dân Trí. Công ty phát hành : 1980 Books. Tác giả : Dr. Hiro. Kích thước : 13 x 19 cm.
Dám Nghĩ Lại - Sức Mạnh Của Việc Biết Mình Không Biết Nhà xuất bản : Nhà Xuất Bản Dân Trí. Công ty phát hành : First News. Tác giả : Adam Grant. Kích thước
Trang đầu 1 2 3 4 5 6 7 8 9 10 11 12 13 14 15 16 17 18 19 20 21 22 23 24 25 26 27 28 29 30 31 32 33 34 35 36 37 38 39 40 41 42 43 44 45 46 47 48 49 50 Trang cuối
👁️ 75 | ⌚2025-09-27 19:00:02.338

QC Shopee
PHẦN TIẾNG ANH: •  THẢO CẦM VIÊN SÀI GÒN: On Loving the Saigon Zoo Despite Its Flaws •  TẠP HÓA AND CONVENIENCE STORES: An Interesting Case for Coexistence •  RICE WINE: A History of Family
Công ty phát hành: Alphabooks Tác giả: Edward Zaccaro Ngày xuất bản: 2023 Kích thước: 16 x 24 cm Nhà xuất bản: Nhà Xuất Bản Thế Giới Loại bìa: Bìa mềm Số trang: 336 Giải
Công ty phát hành: Alphabooks Tác giả: Nhiều tác giả Nhà xuất bản: NXB Dân Trí Năm xuất bản: 2022 Kích thước: 14 x 20cm Số trang: 292 Quy cách: Bìa mềm Expressions for English
Mô tả: Sách - Impossible to ignore - Cách tạo nội dung thao túng người dùng Cuốn sách cung cấp một cách tiếp cận đột phá trong việc tạo ra những thông điệp đáng nhớ
Cuốn sách: Con Mình Chẳng Lẽ Vứt Qua cuốn sách này, ba tác giả muốn truyền tải đến các bậc phụ huynh thông điệp: Con bạn đang sống trong một thế giới mà bạn không
Ở Nam bộ, hầu như tranh kiếng có mặt ở mọi gia đình, cả nơi đình, đền, chùa, miếu. Điều đó đã chỉ ra rằng, việc sử dụng tranh kiếng cho nhu cầu thờ tự,
QUỐC VĂN GIÁO KHOA THƯ và LUÂN LÝ GIÁO KHOA THƯ là hai bộ sách giáo khoa tiếng Việt được dạy song hành ở các trường Tiểu học Việt Nam trong suốt những thập niên
Tác giả: Đỗ Minh Triết Nhà xuất bản: Thế Giới Số trang: 420 Ngày phát hành: 10-2023 GIỚI THIỆU SÁCH: Cuốn sách ghi lại lịch sử sáng tạo và cải tiến chữ số của nhân
Khi nào – bí mật khoa học của thời điểm hoàn hảo là một cuốn sách viết về thời điểm. Ai cũng biết thời điểm là quan trọng. Nhưng nó quan trọng thế nào, quan
Vô Cùng Tàn Nhẫn Vô Cùng Yêu Thương - Tập 4 Vô cùng tàn nhẫn vô cùng yêu thương 4 là những chia sẻ của Sara Imas trong việc bồi dưỡng trí tuệ tài chính
Mô tả: Khi nào – bí mật khoa học của thời điểm hoàn hảo là một cuốn sách viết về thời điểm. Ai cũng biết thời điểm là quan trọng. Nhưng nó quan trọng thế
Mô tả: Sách - Não bộ kể gì về bạn Não bộ – cơ quan quan trọng nhất trong cơ thể người - bộ sưu tập tế bào phức tạp nhất trong vũ trụ –
Sổ tay Hướng dẫn Kỹ thuật Phân tích Dữ liệu – Dành cho người mới bắt đầu Data Analyst   Mô tả sản phẩm:   Điểm nổi bật của sản phẩm: Thực tiễn – Dễ
Mô tả: Giới thiệu sách: Enneagram là một hệ thống tính cách đầy năng lượng và linh hoạt, miêu tả chín mô hình cơ bản khác biệt nhau về cách suy nghĩ, cảm xúc và
TÁC GIẢ: Kaoru Terashita Dịch giả: Lại Minh Tâm THÔNG TIN XUẤT BẢN: Giá bìa: 149.000 Kích thước: 13x19 Số trang: 219 Mã EAN: 8936066690423 NXB liên kết: NXB Thanh Niên Sách do Công ty
Khám phá cuốn sách 'Từ điển giải thích thuật ngữ báo chí', tài liệu chuyên sâu giúp bạn hiểu rõ hơn về các thuật ngữ quan trọng trong ngành báo chí Việt Nam. Với hơn
Tác giả: Erica Layne Người dịch: Trình Uyển Lý THÔNG TIN XUẤT BẢN: Kích thước khổ: 13x19 Bìa mềm Số Trang:260 Giá bìa: 149.000đ Mã EAN: 8936066699266 NXB liên kết: NXB Thanh Niên Sách do
Cuốn sách "Phát triển kinh tế xanh ở Nam Phi và Nigeria: Gợi ý chính sách cho Việt Nam" là một tài liệu chuyên khảo quan trọng, tập trung vào việc phân tích kinh nghiệm
Cuốn sách Phát triển bền vững vùng Trung Bộ: Từ thực tiễn vùng kinh tế trọng điểm miền Trung là công trình chuyên khảo giá trị do Viện Khoa học Xã hội vùng Trung Bộ
Sinh Vật Học Kỳ Thú - Bọ Cánh Cứng, Nhện Và Những Người Bạn Khác