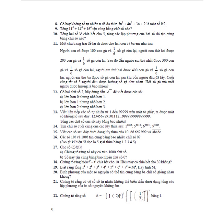
✨Sách - Tìm chìa khoá vàng giải bài toán hay 8 - 9 (dùng chung cho các bộ sgk hiện hành)

SÁCH - Tìm chìa khoá vàng giải bài toán hay 8 - 9 (dùng chung cho các bộ sgk hiện hành)Các bạn trẻ yêu toán thân mến!Vườn hoa toán học rất đa dạng và phong phú, có nhiều bông hoa rực rỡ đầy hương sắ...

mua sản phẩm tại Shopee Mua tại Shopeemua sản phẩm tại TikiMua tại Tikimua sản phẩm tại LazadaMua tại Lazadamua sản phẩm tại TiktokMua tại Tiktok
Sách - Tìm chìa khoá vàng giải bài toán hay 8 - 9 (dùng chung cho các bộ sgk hiện hành)Sách - Tìm chìa khoá vàng giải bài toán hay 8 - 9 (dùng chung cho các bộ sgk hiện hành)Sách - Tìm chìa khoá vàng giải bài toán hay 8 - 9 (dùng chung cho các bộ sgk hiện hành)Sách - Tìm chìa khoá vàng giải bài toán hay 8 - 9 (dùng chung cho các bộ sgk hiện hành)Sách - Tìm chìa khoá vàng giải bài toán hay 8 - 9 (dùng chung cho các bộ sgk hiện hành)Sách - Tìm chìa khoá vàng giải bài toán hay 8 - 9 (dùng chung cho các bộ sgk hiện hành)Sách - Tìm chìa khoá vàng giải bài toán hay 8 - 9 (dùng chung cho các bộ sgk hiện hành)

SÁCH - Tìm chìa khoá vàng giải bài toán hay 8 - 9 (dùng chung cho các bộ sgk hiện hành)

Các bạn trẻ yêu toán thân mến!

Vườn hoa toán học rất đa dạng và phong phú, có nhiều bông hoa rực rỡ đầy hương sắc. Đó là những bài toán hay, đòi hỏi phát huy trí thông minh và óc sáng tạo khi giải.

Muốn giải một bài toán, sau khi đọc kĩ đề bài, điều đầu tiên và quan trọng là cách suy nghĩ tìm ra đường lối giải, đó chính là:

“Tìm chìa khóa vàng giải bài toán hay”

Cuốn sách này gồm 2 tập:

– Tập 1 dành cho các bạn có trình độ lớp 6 và lớp 7.

– Tập 2 dành cho các bạn có trình độ lớp 8 và lớp 9.

Nội dung được trình bày theo từng xoắn (§). Ở mỗi xoắn đều gồm các mục:

A. Những kiến thức cần nắm vững, phục vụ chủ yếu cho việc giải các đề toán sau đó.

B. Các bài toán điển hình, gồm những bài toán hay và thông minh.

C. Cách giải và lời bình, đặc biệt phần lời bình nhằm khai thác đề bài đã ra và được trình bày với những bài toán tương tự khó hơn, hoặc những bài toán mở rộng, những bài toán liên quan ra dưới dạng khác.

D. Bạn có biết ? gồm những mẩu chuyện toán học vừa nâng cao hiểu biết, mở rộng tầm mắt, vừa có tính chất giải trí.

Mong rằng cuốn sách này giúp các bạn trẻ yêu Toán gặt hái được nhiều thành công trong việc học giỏi môn Toán, “môn thể dục của trí tuệ”.

 

==============================

 

Công ty phát hành Nhà Sách Hồng Ân

Năm Xuất Bản 2023

Tác Giả LÊ HẢI CHÂU

Kích Thước 17 x 24 cm

Số Trang 272

Nhà Xuất bản Đại Học Quốc Gia Hà Nội

Bìa Mềm

mua sản phẩm tại Shopee Mua tại Shopeemua sản phẩm tại TikiMua tại Tikimua sản phẩm tại LazadaMua tại Lazadamua sản phẩm tại TiktokMua tại Tiktok
Sách -(Combo)Toán Cơ Bản Và Nâng Cao Lớp 8 (Kết Nối)   Cuốn sách Toán Cơ Bản Và Nâng Cao Lớp 8 là tài liệu cung cấp phương pháp giúp các em tự học, tự
Mỗi bài gồm 4 mục:   Kiến thức cơ bản: hệ thống những kiến thức cần thiết nhất mà các em phải nắm vững..   Sai lầm cần tránh lưu ý các em những lỗi
Đột Phá Tư Duy Toán Lớp 8 Bí quyết giúp con tăng 500% hứng thú tự học & tăng nhanh điểm kiểm tra trên lớp bằng phương pháp tự học đột phá tư duy Bằng
Phương Pháp Tư Duy Tìm Cách Giải Toán Đại Số 9 (Dùng Chung Cho Các Bộ SGK Hiện Hành)    Phương Pháp Tư Duy Tìm Cách Giải Toán Đại Số 9, sách trình bày những
SÁCH ĐỘT PHÁ TƯ DUY KHOA HỌC TỰ NHIÊN - DÙNG CHUNG CHO CẤC BỘ SGK   Đột phá tư duy Khoa học tự nhiên 6 không chỉ là một bộ sách mà còn là
SÁCH ĐỘT PHÁ TƯ DUY LỊCH SỬ VÀ ĐỊA LÍ Biến việc học thành một cuộc phiêu lưu thú vị   Bám sát chương trình học - Chìa khóa thành công cho mọi kì thi
Sách - Bồi dưỡng học sinh giỏi Toán lớp 7 Bộ sách được biên soạn bởi nhóm tác giả là những thầy cô giáo đã và đang giảng dạy ở các lớp chuyên Toán của
Tác giả: Nhiều tác giả Nhà xuất bản: NXB Dân Trí Đơn vị phát hành: Công ty Cổ phần Tập đoàn Giáo dục và Đào tạo WinEdu Số trang: 176 Bìa Mềm Ngày phát hành:
Bộ sách Big 4 - Bộ đề Tự kiểm tra 4 kỹ năng NGHE – NÓI – ĐỌC – VIẾT được biên soạn theo khung chương trình mới của Bộ Giáo dục và Đào tạo
Tuyển Chọn 171 Bài Văn Hay 8 (Theo Chương Trình Giáo Dục Phổ Thông Mới) Sáchđược biên soạn theo sách giáo khoa Ngữ Văn 8 – Chương trình mới nhất của Bộ Giáo dục và
Cuốn sách gồm các chuyên đề sau : Chuyên đề 1. Biền đổi đồng nhất Chuyên đề 2. Biến đổi căn thức Chuyên đề 3. Xác định đa thức Chuyên đề 4. Hệ phương trình
Sách - Giải Bằng Nhiều Cách Các Bài Toán Lớp 9 (Dùng Chung Cho Các Bộ SGK Hiện Hành) - HA Trong học toán và giải toán, việc tìm những lời giải khác nhau cho
Giới Thiệu Sách:   Cuốn Sách 7 Chủ đề toán thực tế đặc sắc (Giúp chinh phục kì thi tuyển sinh vào lớp 10).   7 CHỦ ĐỀ TOÁN THỰC TẾ ĐẶC SẮC - Giúp
Nhà xuất bản Dân Trí     Tác giả Nhiều tác giả     Năm XB 2025     Khổ sách 20.5x28.5 cm    Số trang: 112 trang    Nội dung kiến thức Bao quát các chuyên đề:
Nhà cung cấp ndbooks    Nhà xuất bản Dân Trí     Tác giả Nhiều tác giả     Năm XB 2025       Khổ sách 20.5x28.5 cm    Số trang: 112 trang    Nội dung
Sách - 155 bài làm văn chọn lọc 9 Bạn đọc thân mến, “155 Bài làm văn chọn lọc 9” được biên soạn trên cơ sở Chương trình Ngữ văn Trung học cơ sở hiện
Sách - Những đề & bài văn nghị luận theo hướng mở (dùng chung các bộ sgk hiện hành) - HA Làm văn là một phần quan trọng của môn học Ngữ văn. Làm văn
Sách -(Combo)Toán Cơ Bản Và Nâng Cao Lớp 9(Kết Nối)   Cuốn sách Toán Cơ Bản Và Nâng Cao Lớp 9 là tài liệu cung cấp phương pháp giúp các em tự học, tự rèn
Bắt đầu từ năm học 2023-2024 học sinh lớp 8 học theo chương trình sách giáo khoa mới. Sách giáo khoa mới nhấn mạnh đến rèn luyện tinh thần tự học của học sinh. Nội
Sách - 155 bài làm văn chọn lọc 9 + ha Bạn đọc thân mến, “155 Bài làm văn chọn lọc 9” được biên soạn trên cơ sở Chương trình Ngữ văn Trung học cơ
Định Hướng Và Phát Triển Tư Duy Giải Bài Tập Toán Khó Lớp 9 - Tập 1 (Dùng Chung Cho Các Bộ SGK Hiện Hành)    “Định hướng và phát triển tư duy giải bài
Hướng Dẫn Học Tốt Ngữ Văn 9 - Tập 1 (Bám Sát SGK Cánh Diều)      Mặc dù đã đồng hành cùng với chủ trương lớn của Đảng, Nhà nước - thay đổi sách
Sách - Học Tốt Khoa Học Tự Nhiên 9 (Dùng Kèm SGK Cánh Diều) - HA Quý thầy, cô, các bậc phụ huynh và các em học sinh thân mến! Sách giáo khoa Khoa học
MÔ TẢ SẢN PHẨM Sách - Học Tốt Khoa Học Tự Nhiên 9 (Dùng Kèm SGK Cánh Diều) - HA Quý thầy, cô, các bậc phụ huynh và các em học sinh thân mến! Sách
Phân Loại Và Giải Chi Tiết Các Dạng Bài Tập Toán Lớp 6 Tập 2 (Bám Sát SGK Kết Nối Tri Thức Với Cuộc Sống) Phân Loại Và Giải Chi Tiết Các Dạng Bài Tập
Nhà xuất bản : Đại Học Quốc Gia hà Nội Trang : 272 Năm xuất bản : 2022 Tác giả : nhiều tác giả   Nhà phát hành : Nhà sách hồng ân Sách -
Phương Pháp Giải Toán Bất Đẳng Thức Và Cực Trị Cuốn sách Phương Pháp Giải Toán Bất Đẳng Thức Và Cực Trị do nhóm tác giả Nguyễn Văn Dũng, Võ Quốc Bá Cẩn, Trần Quốc
Kĩ Năng Giải Toán Căn Bản Và Mở Rộng Lớp 7 - Tập 1 (Dùng Chung Cho Các Bộ SGK Hiện Hành)   Bộ sách Kĩ Năng Giải Toán Căn Bản Và Mở Rộng Lớp 7 được
Sách - ôn tập kiểm tra nâng cao và phát triển năng lực ngữ văn 7 thuộc bộ sách này được viết bám sát theo chương trình mới của Bộ Giáo dục và Đào tạo,
Cuốn sách gồm các chuyên đề sau : Chuyên đề 1. Biền đổi đồng nhất Chuyên đề 2. Biến đổi căn thức Chuyên đề 3. Xác định đa thức Chuyên đề 4. Hệ phương trình
MÔ TẢ SẢN PHẨM Hướng Dẫn Trả Lời Câu Hỏi Khoa Học Tự Nhiên 9 (dùng kèm SGK Kết nối tri thức với cuộc sống): Nhằm giúp quý Thầy, Cô, các bậc phụ huynh và
Sách - Giới thiệu bộ đề thi môn tiếng anh tốt nghiệp THPT (theo chương trình GDPT mới - áp dụng từ năm 2025) - HA Các em học sinh thân mến! Cuốn sách Giới
MÔ TẢ SẢN PHẨM Hướng Dẫn Trả Lời Câu Hỏi Khoa Học Tự Nhiên 9 (dùng kèm SGK Kết nối tri thức với cuộc sống): Nhằm giúp quý Thầy, Cô, các bậc phụ huynh và
Sách - ôn tập kiểm tra nâng cao và phát triển năng lực ngữ văn 7 thuộc bộ sách này được viết bám sát theo chương trình mới của Bộ Giáo dục và Đào tạo,
Chương trình Ngữ văn lớp 8 theo định hướng phát triển năng lực 2018 có nhiều thay đổi khi sử dụng ba bộ sách giáo khoa khác nhau. Sau thành công của 2 cuốn Bồi
Bài tập tiếng Anh lớp 7 (không đáp án)   Sách bài tập tiếng anh lớp 7 được biên soạn dành cho học sinh lớp 7, do Nhà xuất bản Đại học Quốc gia Hà Nội
Chương trình Ngữ văn lớp 8 theo định hướng phát triển năng lực 2018 có nhiều thay đổi khi sử dụng ba bộ sách giáo khoa khác nhau. Sau thành công của 2 cuốn Bồi
Nhà cung cấp ndbooks    NXB Dân Trí    Tác giả Nhiều tác giả    Năm XB 2025        khổ 20.5x28.5 cm   Số trang: 96 trang    Hệ thống bài tập theo
Công ty phát hành: Dn Tư Nhân Thương Mại Toàn Phúc Nhà xuất bản: NXB Đà Nẵng Tác giả: Nhiều Tác Giả Loại bìa: Bìa Mềm Số trang: 288 Năm xuất bản: 2021    
Sách - Hướng dẫn viết, nói & nghe các dạng văn lớp 9 tập 1 + ha Trong chương trình giáo dục phổ thông tổng thể 2018, cùng với các môn học khác, môn Ngữ
Sách - Tuyển tập đề thi tốt nghiệp THPT môn hóa học (Cấu trúc đề thi 2025) - HA Kỳ thi tốt nghiệp trung học phổ thông từ năm 2025 sẽ thực hiện theo Chương
Sách - Hướng dẫn viết, nói & nghe các dạng văn lớp 9 tập 2 + ha Trong chương trình giáo dục phổ thông tổng thể 2018, cùng với các môn học khác, môn Ngữ
Kiến Thức Cơ Bản Và Nâng Cao Khoa Học Tự Nhiên Môn Hóa Học 9 (Theo Chương Trình Giáo Dục Phổ Thông Mới - Dùng Chung Cho Các Bộ SGK Hiện Hành) Môn Hóa cũng
Sách - Giúp em giỏi toán 9/1 (bám sát sgk kết nối tri thức với cuộc sống) - HA   Cuốn sách Giúp em giỏi Toán 9 – Tập một được biên soạn bám sát
Các em học sinh thân mến!   Thị trường sách tham khảo dành cho học sinh THCS đã khá nhiều. Song với kinh nghiệm tích luỹ trong nhiều năm và để giúp các em học
Nội dung của mỗi bài học đó là các định nghĩa, các công thức toán học, các định lí mà mỗi học sinh cần nhớ, đồng thời phải biết vận dụng các kiến thức để
Sách - Hướng dẫn học và giải các dạng bài tập Toán 9/1 (bám sát SGK Kết nối tri thức với cuộc sống) -HA Với mong muốn giúp học sinh phát triển phẩm chất và
Sách - Bài giảng & lời giải chi tiết tiếng anh 9 (bám sát sgk i-learn smart world) Cuốn sách Bài giảng và lời giải chi tiết Tiếng Anh 9 được biên soạn nhằm mục
được biên soạn bởi các tác giả là chuyên gia, nhà khoa học, nhà giáo giàu kinh nghiệm về giáo dục phổ thông. Bộ sách được biên soạn vừa giúp học sinh củng cố các
được biên soạn bởi các tác giả là chuyên gia, nhà khoa học, nhà giáo giàu kinh nghiệm về giáo dục phổ thông. Bộ sách được biên soạn vừa giúp học sinh củng cố các
-------------------------giới thiệu sách-------------------- -35 đề thi then chốt vào lớp 6   -Đề thi phong phú , đa dạng bám sát chương trình của Bộ giáo dục & Đào tạo   -Có đáp án (tặng
Sách - Hướng dẫn và minh họa viết đoạn văn nghị luận xã hội 200 chữ (dùng chung cho các bộ sgk hiện hành) - HA Các em học sinh 12 thân mến! Trong cấu
Mô tả sản phẩm Giới thiệu Sách - [ Lớp 4 lên lớp 5 ] - Bộ đề ôn tập hè Vui Học Toán Hè lớp 4 lên lớp 5 Bộ đê ôn tập trong
Sách - Combo Hướng dẫn học và giải các dạng bài tập Toán 6 (Tập 1+Tập 2) Gồm 2 cuốn : Hướng dẫn học và giải các dạng bài tập Toán 6 - Tập 1
 Từ năm học 2021-2022, chương trình và sách giáo khoa Ngữ văn Trung học Cơ sở mới được triển khai dạy và học trên phạm vi toàn quốc. Để góp phần giúp giáo viên, phụ
Bạn đang tìm kiếm một người bạn đồng hành tin cậy để vượt qua các kỳ thi học sinh giỏi Toán lớp 9? Bạn mong muốn tiếp cận những dạng toán chuyên sâu, tư duy
Sách ôn thi thpt quốc gia 2025, Sách ôn thi tốt nghiệp môn Vật Lí 1. Mô tả Sách ôn thi thpt quốc gia 2025, Sách ôn thi tốt nghiệp môn Vật Lí - Đề
Sách có hai tập, bám sát các nội dung cơ bản theo định hướng phát triển năng lực đọc, viết, nói và nghe của sách giáo khoa Ngữ văn 9 bộ “Kết Nối Tri Thức".
Bồi Dưỡng Học Sinh Giỏi Toán 9 (Luyện Thi Vào Lớp 10) Sách nhằm góp thêm vào tủ sách của bạn đọc một tài liệu bồi dưỡng học sinh giỏi lớp 9 và luyện thi
Các em học sinh lớp 7 yêu quýt Sau một năm lớp 6 học tập môn Ngữ văn, các em đã được tiếp xúc với các văn bản miêu tả, tự sự, biểu cảm, nghị
Trang đầu 1 2 3 4 5 6 7 8 9 10 11 12 13 14 15 16 17 18 19 20 21 22 23 24 25 26 27 28 29 30 31 32 33 34 35 36 37 38 39 40 41 42 43 44 45 46 47 48 49 50 Trang cuối
👁️ 98 | ⌚2025-09-20 21:22:33.983

QC Shopee
Tác giả: Napoleon Hill Foundation Ngày xuất bản: 2018 Kích thước: 14.5 x 20.5 cm Nhà xuất bản: NXB Tổng hợp Số trang: 416 Giá: 144.000VNĐ Mô tả sản phẩm:
Công Chúa Tóc Cam - Yêu Đương Vui Phết (Trừ Những Lúc Không) Ngày nảy ngày nay, có nàng công chúa xinh đẹp, mọi người gọi nàng là Công chúa Tóc Cam. Vì tóc nàng
Khoa Học Khám Phá - Sinh Vào Ngày Xanh ------------ Sinh vào ngày xanh là tự truyện của một người tự kỷ, một trí tuệ phi thường – Daniel Tammet. Cuốn sách được phát hành
Khoa Học Khám Phá - Sinh Vào Ngày Xanh ------------ Sinh vào ngày xanh là tự truyện của một người tự kỷ, một trí tuệ phi thường – Daniel Tammet. Cuốn sách được phát hành
Hỏi lạ độc - Đáp khoa học: những thắc mắc lạ lùng, những tin đồn dai dẳng và những hiện tượng khó giải thích nhất thế giới ------------   Trong cuốn sách đầu tay của
Trong cuốn sách đầu tay của mình, Mitchell Moffit và Greg Brown, những bộ óc thiên tài đằng sau kênh YouTube cực kỳ nổi tiếng AsapSCIENCE, sẽ trả lời những câu hỏi hóc búa của
HƯỚNG DẪN TỐI ƯU VỀ NHỮNG NHÀ ĐẦU TƯ VĨ ĐẠI NHẤT Dựa trên chuyên mục 'Những nhà đầu tư vĩ đại trong lịch sử' nổi tiếng của MoneyWeek, sách sẽ đưa ra một cái
Bọ Cho Bữa Sáng Và Những Giải Pháp Thân Thiện Cho Tương Lai Như chúng ta đã biết, xã hội loài người phải đối diện với những thách thức lớn lao như biến đổi khí
Hỏi lạ độc - Đáp khoa học: những thắc mắc lạ lùng, những tin đồn dai dẳng và những hiện tượng khó giải thích nhất thế giới ------------   Trong cuốn sách đầu tay của
Những Chú Chó Bán Hàng Công ty phát hành: Nxb Trẻ Nhà xuất bản: Nxb Trẻ Tác giả: Blair Singer Khổ sách: 14x20cm Số trang: 356 Năm xuất bản: 2018 Hình thức: Bìa mềm Giới
Sách chiếu bóng - Cinema book - Rạp chiếu phim trong nhà là một phiên bản vô cùng đặc biệt có thể đọc được trong bóng tối. Với mục tiêu đem tới các sản phẩm
Cùng với tâm thế như vậy, bộ sách Mặt nạ của Đinh Tị, sách Lật mở khám phá, sách 30 ngày cùng con học hiểu về chống xâm hại, sách Chuyển động đếm số, và
Lift-the-flap - Lật mở khám phá- Bé giỏi giang, vệ sinh đúng cách là cuốn sách trong bộ sách Lift-the-Flap – Lật Mở Khám Phá mới nhất của Đinh Tị, cuốn sách sẽ mang đến
Sách - Câu Chuyện Nhỏ Bài Học Hay - Combo 3 Chủ Đề: Dũng Cảm Lên Nào + Chia Sẻ Thật Vui Vẻ + Chia Sẻ Thật Vui Vẻ Bộ sách gồm các chủ đề:
Nhiều thập kỷ trôi qua, hướng nghiên cứu chính trong ngành sinh học chủ yếu đến từ nghiên cứu thông tin di truyền. Dù cho thông tin di truyền là một yếu tố quan trọng,
Sách -(Combo)Toán Cơ Bản Và Nâng Cao Lớp 8 (Kết Nối)   Cuốn sách Toán Cơ Bản Và Nâng Cao Lớp 8 là tài liệu cung cấp phương pháp giúp các em tự học, tự
"Bồi Dưỡng Học Sinh Giỏi Vật Lí 10 Tập 1" là tài liệu thiết thực và bổ ích phù hợp với nhiều đối tượng người đọc (giáo viên, phụ huynh,học sinh,...) muốn tìm hiểu về
Mỗi bài gồm 4 mục:   Kiến thức cơ bản: hệ thống những kiến thức cần thiết nhất mà các em phải nắm vững..   Sai lầm cần tránh lưu ý các em những lỗi
Bộ Đề Thi Mô Phỏng YCT Kỳ thi tiếng Trung dành cho học sinh (Youth Chinese Test – YCT) là kỳ thi chuẩn ở phạm vi quốc tế nhằm đánh giá khả năng sử dụng
Tài chính công là môn khoa học nghiên cứu các hiện tượng xã hội vừa mang tính chất chính trị vừa mang tính kỹ thuật, buộc chúng ta phải luôn đối chiếu lý luận với thực tiễn. Tài chính công gắn với các cơ chế vận hành quyền lực của Nhà nước ở khắp các lĩnh vực kinh tế, chính trị và xã hội có ảnh hưởng đến mọi mặt của đời sống xã hội hiện đại ở các cấp độ khác nhau. Trong bối cảnh hội nhập quốc tế, Tài chính công thể hiện rõ hơn vai trò là công cụ quan trọng hỗ trợ Chính phủ khắc phục những thất bại của thị trường, tái phân phối thu nhập, đảm bảo phúc lợi xã hội và sử dụng có hiệu quả các nguồn lực công. Cuốn giáo trình Tài chính công tiếp cận dựa trên các nguyên lý cơ bản về tài chính công và các vấn đề mang tính thực tiền về hoạt động tài chính công ở các quốc gia trên thế giới và Việt Nam qua đó giúp người học trang bị những kiến thức cơ bản và nâng cao, rèn luyện kỹ năng nghiên cứu và vận dụng trong hoạt động thực tiền chuyên môn. Cuốn giáo trình Tài chính công được biên soạn bao gồm 6 chương bao gồm: Chương 1: Khu vực công và Tài chính công; Chương 2: Thuế và Tác động kinh tế của thuế; Chương 3: Chi tiêu công; Chương 4: Ngân sách Nhà nước; Chương 5: Quỹ Tài chính nhà nước ngoài ngân sách; Chương 6: Nợ công. Cuối mỗi chương có thiết kế các câu hỏi, tình huống, bài tập qua đó giúp độc giả có thêm tài liệu thực hành các kiến thức ở từng chương.