✨Siêu Tư Duy Luyện Đề Chuẩn Bị Kỳ Thi Học Sinh Giỏi Toán 9 - KV

























Siêu Tư Duy Luyện Đề Chuẩn Bị Kỳ Thi Học Sinh Giỏi Toán 9
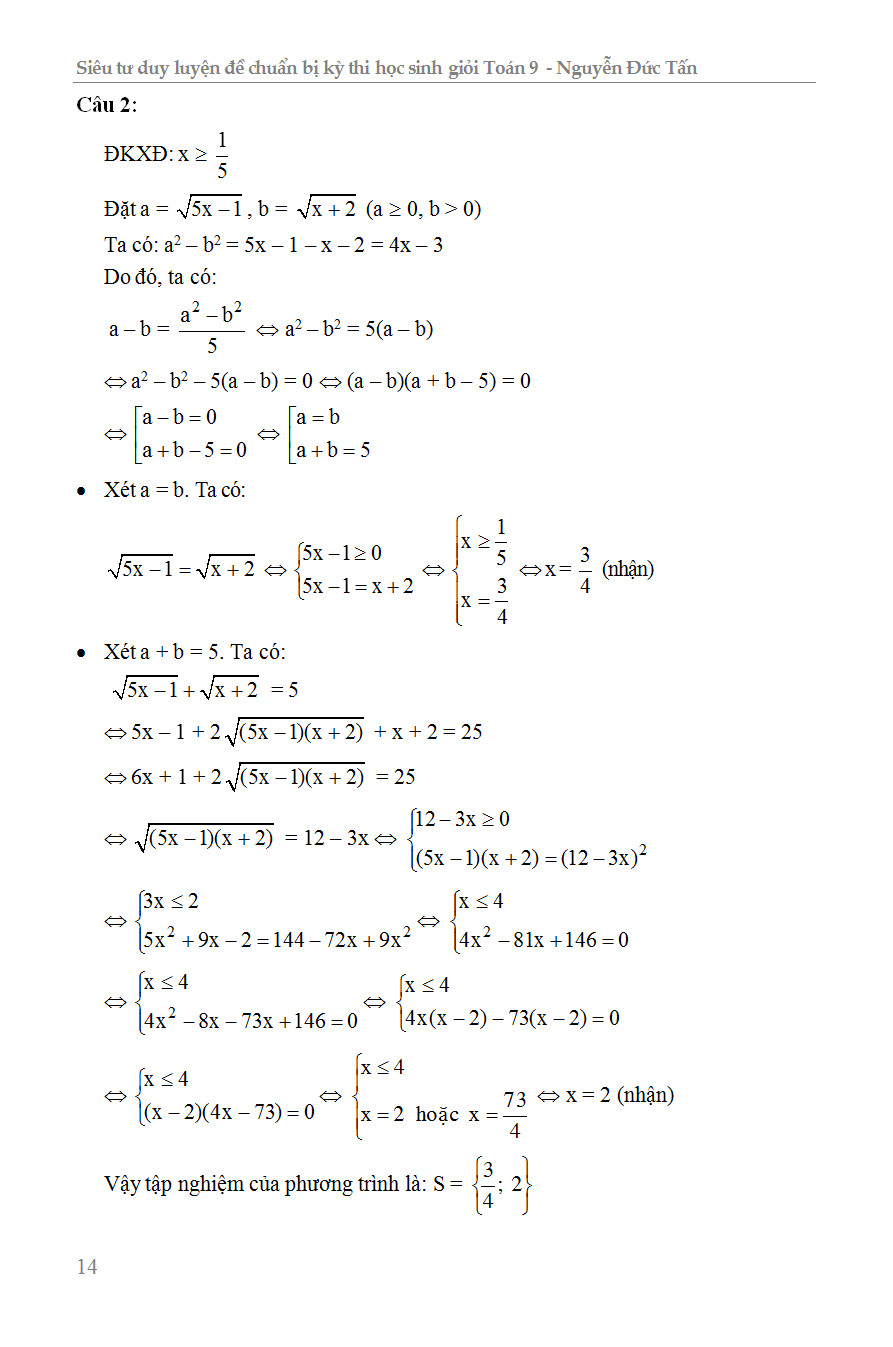
Siêu Tư Duy Luyện Đề Chuẩn Bị Kỳ Thi Học Sinh Giỏi Toán 9 là cuốn sách luyện thi học sinh giỏi mới nhất của Thạc sĩ Nguyễn Đức Tấn trình bày những kỹ năng tuyệt đỉnh nhất cho các em bước vào giai đoạn luyện thi học sinh giỏi môn Toán 9. Là tài liệu tham khảo cho giáo viên và học sinh trong các kì thi học sinh giỏi cấp huyện, cấp tỉnh, cấp thành phố. Bồi dưỡng học sinh chuyên Toán. Cập nhật nhiều đề mới và phương pháp giải hay. Phân tích, hướng dẫn giải chi tiết và bình luận. Để chuẩn bị cho kì thi sắp tới và nâng cao trình độ bản thân thì cuốn Siêu Tư Duy Luyện Đề Chuẩn Bị Kỳ Thi HSG Toán 9 là một lựa chọn tuyệt vời của bạn.




Sách - khám phá toán lớp 9 để học giỏi - tập 1 + 2 (dùng chung cho các bộ sgk hiện hành) - HA Các bạn học sinh thân mến! Theo tiến độ thực
NỘI DUNG SÁCH Chương 1. Chia hết, ước và bội Chương 2. Số nguyên tố, hợp số Chương 3. Số chính phương, số lập phương, căn thức Chương 4. Phương trình
Quý thầy, cô cùng các em học sinh thân mến! Với phương châm giúp học sinh phát triển phẩm chất và năng lực để vừa mở mang kiến thức vừa rèn luyện kỹ năng, cùng
SÁCH - Combo Phương Pháp Tư Duy Tìm Cách Giải Toán: Đại Số 8 + Hình Học 8 (Bộ 2 Cuốn) 1. Phương Pháp Tư Duy Tìm Cách Giải Toán Đại Số 8 2. Phương
Nhằm giúp các em học sinh ôn thi vào lớp 10 cũng như các em học sinh chuyên Toán có một tài liệu mang tính hệ thống để ôn luyện, nâng cao kỹ năng giải
phân Loại Và Giải Chi Tiết Các Dạng Bài Tập Toán Lớp 8 - Tập 1 + tập 2 Nội dung của mỗi tiết học đó là các định nghĩa, các công thức toán học,
Combo Bộ Đề Thi Chuyên Sinh Học 9 + Bồi Dưỡng Học Sinh Giỏi Sinh Học 9 - Phan Khắc Nghệ (Bộ 2 Cuốn) 1. Bộ Đề Thi Chuyên Sinh Học 9 Cuốn sách Bộ Đề
Combo Bộ Đề Ôn Thi Vào Lớp 10 THPT Môn Sinh Học + Bồi Dưỡng Học Sinh Giỏi Sinh Học 9 - Phan Khắc Nghệ (Bộ 2 Cuốn) - TÁI BẢN MỚI 1.Bộ Đề Ôn
Combo Bộ Đề Ôn Thi Vào Lớp 10 THPT Môn Sinh Học + Bồi Dưỡng Học Sinh Giỏi Sinh Học 9 - Phan Khắc Nghệ (Bộ 2 Cuốn) - TÁI BẢN MỚI 1.Bộ Đề Ôn
1. Bồi Dưỡng Học Sinh Giỏi Sinh Học 9 - Phan Khắc Nghệ Cuốn sách Bồi Dưỡng Học Sinh Giỏi Sinh Học Lớp 9 được viết bám sát chương trình Sinh học
Sách Tổng ôn khoa học tự nhiên lớp 9 chương trình mới cho 2k11 ôn thi vào 10 Moonbook 1. Nội Dung : Khi phân tích chương trình KHOA HỌC TỰ NHIÊN LỚP 9 có
Bộ sách "Combo 2 cuốn Tổng Hợp Chuyên Đề Trọng Tâm Thi vào 10 Chuyên và Học Sinh Giỏi Lớp 9 (2025)" là bộ sách tổng hợp đầy đủ và chi tiết các kiến thức trọng
THÔNG TIN CHI TIẾT - Tác giả : Nhiều Tác Giả - Nhà xuất bản : NXB Dân Trí - Kích thước : 16 x 24 cm - Số trang : Tập 1 (294 Trang)
Sách - Combo Bác Sĩ Zhivago - Tập 1+2 (Bộ 2 Cuốn) (Bản Dịch Đầy Đủ Nhất) - HA BỘ SÁCH BAO GỒM: 1. Bác Sĩ Zhivago - Tập 1 (Bản Dịch Đầy Đủ Nhất)
Sách - Combo Bác Sĩ Zhivago - Tập 1+2 (Bộ 2 Cuốn) (Bản Dịch Đầy Đủ Nhất) - HA BỘ SÁCH BAO GỒM: 1. Bác Sĩ Zhivago - Tập 1 (Bản Dịch Đầy Đủ Nhất)
Sách - Giải nhanh các chuyên đề hình học 9 tài liệu thi vào lớp 10 (dùng chung cho các bộ sgk hiện hành) - HA Để giúp các em ôn tập và nâng
Theo xu hướng tự chủ, hiện nay các trường đại học, học viện trong cả nước sử dụng nhiều phương thức tuyển sinh khác nhau, trong đó đặc biệt ưu tiên sử dụng kết quả
MÔ TẢ SẢN PHẨM Nhà phát hành: Nhà sách Hồng Ân 2 Nhà xuất bản: NXB Đại Học Sư Phạm Tác giả: Hoàng Xuân Nhàn Năm xuất bản: 2025 Loại bìa: bìa mềm Kích thước:
- Củng cố các kiến thức cơ bản có trong chương trình đã học trong sách giáo khoa -Rèn luyện thêm kỹ năng trình bày bài giải một cácch mạch lạc - Với
Combo Em Học Toán Lớp 6 + Bài Tập - Theo Chương Trình Giáo Dục Phổ Thông Mới (Bộ 4 Cuốn) Bộ sách gồm 4 cuốn: 1. Em Học Toán 6 - Tập 1 (Theo
Nội dung : - - đầy đủ các dạng thi tuyển sinh 2024 - - các sai lầm thường gặp của học sinh - - phân tích, định hướng lời giải đúng - -
Sách - Phân Loại Và Giải Chi Tiết Các Dạng Bài Tập Toán 7 Tập 1+ tập 2 ( Bám sát SGK Kết Nối Tri Thức Với Cuộc Sống ) Các tác giả cũng đặt
Sách - Combo những bài văn tham khảo lớp 9 - tác phẩm thơ + truyện ngoài sgk (dùng chung cho các bộ sgk hiện hành) - HA Các em học sinh thân mến! Văn
Sách - Combo những bài văn tham khảo lớp 9 - tác phẩm thơ + truyện ngoài sgk (dùng chung cho các bộ sgk hiện hành) - HA Các em học sinh thân mến! Văn
Sách - Combo Hướng Dẫn Giải Bài Tập Toán 5 + Hướng Dẫn Học Và Làm Bài Tiếng Việt 5 (Bám Sát SGK Chân Trời Sáng Tạo) (Bộ 4 Cuốn) - HA Combo Hướng Dẫn
Combo Hướng Dẫn Giải Violympic Toán - Tiếng Anh + Bộ Đề Luyện Thi Violympic Trạng Nguyên Tiếng Việt Lớp 4 (Bộ 3 Cuốn) 1. Hướng Dẫn Giải Violympic Toán 4 Giải Toán qua mạng
Sách - Hướng Dẫn Học Tốt Ngữ Văn 9 - Tập 2 (Bám Sát SGK Chân Trời Sáng Tạo) - HA Quý thầy cô cùng các em học sinh thân mến! Mặc dù
Combo Phân Loại Và Giải Chi Tiết Các Dạng Bài Tập Toán 6 (Tập 1+2) (Bám Sát SGK Kết Nối Tri Thức Với Cuộc Sống) Bộ sách bao gồm 2 cuốn: Phân Loại Và Giải
Hướng Dẫn Học Ngữ Văn 9 - Tập 1 (Dùng Kèm SGK Chân Trời Sáng Tạo) Hướng Dẫn Học Ngữ Văn 9 - Tập 2 (Dùng Kèm SGK Chân Trời Sáng Tạo) Mặc dù đã
Để giúp các em bớt đi phần nào lo lắng và khó khăn trước các kì thi, nhất là kì thi THPT Quốc Gia và xét tuyển vào Cao Đẳng, Đại Học, Học viện, tác
1. 200 Bài Toán Hình Học Lớp 9 Sách được viết theo chương trình giáo dục phổ thông mới, dùng chung cho các bộ sách Giáo khoa hiện hành với mục đích góp thêm các
Sách - Bồi dưỡng học sinh giỏi Toán lớp 7 Bộ sách được biên soạn bởi nhóm tác giả là những thầy cô giáo đã và đang giảng dạy ở các lớp chuyên Toán của
Mô tả sản phẩm Môn Khoa học tự nhiên được xây dựng và phát triển trên nền tảng các khoa học vật lí, hoá học, sinh học và khoa học Trái Đất. Đối tượng nghiên
THÔNG TIN SÁCH Công ty phát hành Nhà Sách Hồng Ân 2 Năm Xuất Bản 2023 Tác Giả Lê Thị Nương Kích Thước 17 x 24cm Nhà Xuất bản Đại Học Quốc Gia Hà Nội
Trong chương trình giáo dục phổ thông tổng thể 2018, cùng với các môn học khác, môn Ngữ văn cũng hướng tới dạy học phát triển năng lực và phẩm chất. Ở chương trình Ngữ
Công ty phát hành Nhà Sách Hồng Ân Tác Giả Kiều Bắc | Nguyễn Thị Hoa | Nguyễn Quốc Khánh Năm Xuất Bản 2024 Kích Thước 17 x 24 cm Nhà Xuất bản Hải Phòng
Combo Hướng Dẫn Học Và Giải Các Dạng Bài Tập Toán 9 Tập 1 + 2 (Bám Sát SGK Kết Nối Tri Thức Với Cuộc Sống) (Bộ 2 Cuốn) 1. Hướng Dẫn Học Và Giải
SÁCH - combo hướng dẫn học và phương pháp giải toán lớp 9 (bám sát sách giáo khoa chân trời sáng tạo bộ 2 cuốn) gồm hướng dẫn học và phương pháp giải toán lớp
Nhà sách Tuệ Tâm trân trọng giới thiệu sách: Phân loại và giải chi tiết các dạng bài tập Toán 9 (Kết nối tri thức với cuộc sống)! Nội dung của mỗi bài học đó
SÁCH - combo hướng dẫn học và phương pháp giải toán lớp 9 (bám sát sách giáo khoa chân trời sáng tạo bộ 2 cuốn) gồm hướng dẫn học và phương pháp giải toán lớp
NỘI DUNG SÁCH Cuốn sách được biên soạn theo từng bài học và chia làm 3 phần. Phần 1: Kiến thức cơ bản và ví dụ. Phần 2: Các dạng toán có phương pháp giải
combo Hướng dẫn học và làm bài làm văn Ngữ Văn 9 gồm Hướng dẫn học và làm bài làm văn Ngữ Văn 9 tập 1 Hướng dẫn học và làm bài làm văn Ngữ
Tác giả: Trịnh Văn Bằng Công ty phát hành: nhà sách Hồng Ân Số trang: 464 Nhà Xuất Bản: Đại Học Quốc Gia Hà Nội Năm xuất bản: 2024 Bìa mềm kích thước 17*24cm ------------------
Combo Toán Nâng Cao Lớp 9 (Bộ 2 Cuốn) 1. Toán Nâng Cao Đại Số 9 Đại số là mảng kiến thức rất quan trọng trong toán học phổ thông. Nhằm giúp các em học
Sách - Cảm thụ, phân tích tác phẩm văn học ngoài sách giáo khoa tác phẩm thơ + tác phẩm truyện - HA Sách - Cảm thụ, phân tích tác phẩm văn học ngoài sách
Sách - Combo Toán Nâng Cao Đại Số + Hình Học Lớp 8 (Dùng Chung Cho Các Bộ SGK Hiện Hành) (Bộ 2 Cuốn) - HA 1. Toán Nâng Cao Đại Số 8 (Dùng Chung
Bộ sách gồm 2 tập nhằm tập trung xây dựng, phát triển và mở rộng kiến thức nền tảng Toán học một cách hệ thống, dễ tiếp cận, giúp các em nắm được một cách
1. Nội dung sách tổng ôn toán học lớp 9 Tập 1 gồm 4 chương: - Chương 1: Căn bậc hai, căn bậc ba. - Chương 2: Hàm số bậc nhất. - Chương 3: Hệ
45 đề chinh phục kì thi vào 10 môn Khoa học tự nhiên 1. Nội Dung : .Cuốn sách được chia làm hai chương chính, mỗi chương có nội dung rõ ràng và mạch
1. Nội Dung Cuốn sách được nhóm tác giả biên soạn dựa trên cấu trúc ĐỀ MINH HOẠ KỲ THI TUYỂN SINH LỚP 10 THPT THEO CHƯƠNG TRÌNH GDPT 2018 mà các SỞ GIÁO DỤC
1. Nội dung sách tổng ôn toán học lớp 9 Tập 1 gồm 4 chương: - Chương 1: Căn bậc hai, căn bậc ba. - Chương 2: Hàm số bậc nhất. - Chương 3: Hệ
1. Nội dung sách Tổng ôn tiếng anh lớp 9 chương trình mới cho 2k10 ôn thi vào 10 Bộ sách Tổng ôn tiếng anh 9 bao gồm 3 tập: + Tập 1: Tổng ôn
Chuyên Đề Bài Tập - Khoa Học Tự Nhiên 7 (Dùng Cho Chương Trình GDPT Mới) Quý Thầy Cô cùng quý phụ huynh kính mến! Các em học sinh thân mến! Năm học 2022 -
Đây là cuốn sổ tổng hợp đầy đủ kiến thức lý thuyết của 5 môn toán lý hóa văn anh giúp các em tra cứu và tổng hợp kiến thức dễ dàng - Khi ôn
Chuyên Đề Bài Tập - Khoa Học Tự Nhiên 7 (Dùng Cho Chương Trình GDPT Mới) Quý Thầy Cô cùng quý phụ huynh kính mến! Các em học sinh thân mến! Năm học 2022 -
Sách - Chinh phục câu hỏi lí thuyết hóa học theo chủ đề ôn thi THPT quốc gia (dùng chung các bộ sgk hiện hành) - HA Các em học sinh thân mến! Trong đề
Sách Tinh tuyển Những bài văn Học sinh giỏi Quốc gia 2025 Cuốn sách này là bộ sưu tập 50 bài văn xuất sắc của các thí sinh đạt giải Nhất, Nhì trong kỳ thi
Combo Định Hướng Và Phát Triển Tư Duy Giải Bài Tập Toán Khó Lớp 8 - Tập 1 + 2 (Dùng Chung Cho Các Bộ SGK Hiện Hành) (Bộ 2 Cuốn) 1. Định Hướng Và
Sách Tham Khảo Toán + Vật Lí + Hóa Học 11 (Dùng Chung Cho Các Bộ SGK Hiện Hành) (Bộ 3 Cuốn) 1. Sách Tham Khảo Toán 11 (Dùng Chung Cho Các Bộ SGK Hiện
250 Bài Toán Chọn Lọc Lớp 6 – Cùng con chinh phục môn Toán Cuốn sách 250+ Bài Toán Chọn Lọc Lớp 5 là tài liệu bổ trợ hoàn hảo dành cho các em học sinh lớp
👁️ 19 | ⌚2025-10-07 04:34:44.256
Bất đẳng thức ôn thi học sinh giỏi toán 9 ( video 5)
Đề thi chuyên Toán Bà Rịa Vũng Tàu 2021-2022 ( Giải chi tiết)
Bồi dưỡng HSG toán 9 theo 19 chuyên đề - Học Toán Cô Trang
Bài hình đề hsg toán 9 của Hà Nội vừa thi #chill #maths
Bài toán chứng minh góc vuông từ đề thi HSG lớp 9 TP Hà Nội 2023 #shorts
Tư duy như học sinh giỏi toán. Bạn nào yếu toán,cần lấy gốc thì follow anh nhé #toán #toanhoc #toan9

Bất đẳng thức ôn thi học sinh giỏi toán 9 ( video 5)
Đề thi chuyên Toán Bà Rịa Vũng Tàu 2021-2022 ( Giải chi tiết)
Bồi dưỡng HSG toán 9 theo 19 chuyên đề - Học Toán Cô Trang
Bài hình đề hsg toán 9 của Hà Nội vừa thi #chill #maths
Bài toán chứng minh góc vuông từ đề thi HSG lớp 9 TP Hà Nội 2023 #shorts
Tư duy như học sinh giỏi toán. Bạn nào yếu toán,cần lấy gốc thì follow anh nhé #toán #toanhoc #toan9

- Môn thể thao vua ngày càng phát triển cùng với đó là việc các trận đấu diễn ra ngày càng chuyên nghiệp,căng thẳng, quyết liệt hơn và hấp dẫn hơn. - Đóng góp cùng
Ugreen 40248 Hdmi To Vga + 3.5Mm Audio + Mirco Usb Converter Flat Design Đen Mm103 1. Features: connect HDMI port device to monitor, projector with VGA port. 2. Cable length: 15CM 3. Wire form:
Thú Bông Capybara Cà Rốt 22 cm - Nuan Nuan CHLBST22-22CM Sản phẩm thú bông Capybara mới siêu hot với chất liệu bông gòn nhồi bên trong 100% là bông gòn PP 3D trắng tinh
Mã đặt hàng 00823 Size 3,5 Chiều dài (mm) 204
Chăn Đũi Hè Thu Kẻ Mẫu Mới Dùng cái chăn này xong là ko muốn dùng loại nào khác đâu nè, chăn làm từ chất liệu cotton đũi siêu nhẹ, đắp bao phê, chăn chuẩn
Đèn Pha LED Bi Cầu T2 Siêu Sáng – Lắp Xe Máy Ô Tô Dễ Dàng, Không Cần Độ Chế Loại Xịn Siêu Bền Đèn Pha LED Bi Cầu T2 Siêu Sáng là lựa chọn hoàn hảo cho những ai muốn nâng cấp hệ thống chiếu sáng xe máy hoặc ô tô mà không cần độ chế phức tạp. Với công nghệ LED hiện đại, ánh sáng mạnh mẽ, bền bỉ và tiết kiệm điện, đây là dòng sản phẩm được ưa chuộng hàng đầu hiện nay. Ưu điểm nổi bật của Đèn Pha LED Bi Cầu T2 - Tương thích điện AC và DC: Đèn có thể sử dụng linh hoạt với cả hai nguồn điện AC và DC, giúp bạn lắp đặt dễ dàng trên mọi loại xe mà không cần chế dây hay chỉnh mạch điện. - ️ Chân cắm H4 và M5 thông dụng: Thiết kế chân cắm chuẩn H4 & M5, phù hợp với hầu hết các dòng xe máy và ô tô, chỉ cần cắm là sáng – cực kỳ tiện lợi. - Chip LED công nghệ mới siêu bền: Trang bị chip LED đời mới với tuổi thọ cao, độ sáng ổn định, chống chập, chống quá nhiệt, giúp tiết kiệm điện năng và tăng độ bền vượt trội. - Ánh sáng mạnh – Đường cắt sắc nét: Cường độ sáng mạnh mẽ, chiếu xa và rõ nét, đồng thời đường cắt sáng chuẩn, giúp không gây chói mắt cho xe đối diện – đảm bảo an toàn khi lưu thông ban đêm. - ️ Công nghệ tản nhiệt thông minh: Hệ thống tản nhiệt nhôm hợp kim cao cấp, giúp giảm nhiệt nhanh, bảo vệ chip LED, duy trì hiệu suất chiếu sáng ổn định trong thời gian dài. Ứng dụng thực tế - Lắp đặt cho xe máy, ô tô, xe điện, xe tải nhỏ... - Thay thế cho các loại đèn halogen hoặc đèn LED đời cũ yếu sáng. - Phù hợp cho người thường xuyên di chuyển ban đêm, cung đường thiếu ánh sáng, hoặc cần ánh sáng xa – rõ – đều. Lợi ích khi sử dụng Đèn Bi Cầu LED T2 - Tiết kiệm điện, tuổi thọ cao gấp 100 lần đèn halogen. - Dễ lắp, không cần độ chế, cắm zắc là sử dụng ngay. - Thiết kế nhỏ gọn, hiện đại, tăng tính thẩm mỹ cho xe. - Bảo vệ an toàn khi di chuyển ban đêm, trời mưa hoặc sương mù. Thông số kỹ thuật (tham khảo): - Điện áp hoạt động: AC/DC 12V – 36V - Loại chân đèn: H4 / M5 -
“Rèn luyện tư duy logic trong công việc” cuốn sách giúp người đi làm cải thiện kỹ năng tư duy và viết tài liệu ở môi trường công sở, đặc biệt là viết email sao
COMBO KẺ THÀNH CÔNG PHẢI BIẾT LẮNG NGHE + KẺ KHÔN ĐI LỐI KHÁC - THE THIRD DOOR KẺ THÀNH CÔNG PHẢI BIẾT LẮNG NGHE Cuốn sách nghệ thuật giao tiếp mang đến cho độc
Combo 3 Cuốn Chánh Niệm Từng Phút Giây: Sống Thảnh Thơi Giữa Đời Đô Thị + Bước Chậm Lại Giữa Hiện Tại Trong Ta + Nấu Yêu Thương Nuôi Dưỡng Nhiệm Mầu ------------ 1.
Combo: MANIFEST + Tần Số Rung Động 1. MANIFEST - 7 Bước Để Thay Đổi Cuộc Đời Bạn Mãi Mãi Tác giả Roxie Nafousi Dịch giả Bạc Hà Thể loại Sách kỹ năng Kích
When a baby escapes a murderer intent on killing the entire family, who would have thought it would find safety and security in the local graveyard? Brought up by the resident ghosts, ghouls and spectres,
Imagine Level 3 Student Book With Online Practice & e-Book Bringing the real world to your classroom is now as easy as ABC! With exciting content from National Geographic, Imagine makes it simple to introduce
Kỹ Năng Học Tập Thành Công Ở Bậc Cao Đẳng, Đại Học Tập 1 Quản lý bản thân tối ưu Cuốn sách chia sẻ về những kỹ năng cơ bản giúp sinh viên phát triển
NỘI DUNG CHÍNH Sổ tay xây dựng trường học ESL là bộ sách được viết ra từ thực tiễn giảng dạy và quản lí tại Trường THCS Ngoại ngữ (UMS) – nơi tiên phong
NỘI DUNG CHÍNH Sổ tay xây dựng trường học ESL là bộ sách được viết ra từ thực tiễn giảng dạy và quản lí tại Trường THCS Ngoại ngữ (UMS) – nơi tiên phong
NỘI DUNG CHÍNH Sổ tay xây dựng trường học ESL là bộ sách được viết ra từ thực tiễn giảng dạy và quản lí tại Trường THCS Ngoại ngữ (UMS) – nơi tiên phong
Giá bộ: 336.000 VNĐ ---------- Công ty phát hành: First News - Trí Việt Tác Giả: Nhiều tác giả Ngày phát hành: 2021 Số trang: 200 trang Kích thước: 14.5 x 20.5 cm Nhà xuất
Giá bộ: 316.000 VND Thương hiệu: Nhiều tác giả Công ty phát hành: First News - Trí Vệt Năm phát hành: 2020 NXB: NXB Tổng Hợp Loại Bìa: Bìa mềm Ngôn ngữ: Tiếng việt -------------------------------------
Giá bìa: 336.000 VNĐ ----------------- Công ty phát hành: First News - Trí Việt Tác Giả: Peter Worley Ngày phát hành: 2021 Số trang: 200 trang Kích thước: 16 x 24 cm Nhà xuất bản:
Giá bộ: 336.000 VNĐ ----------------- Công ty phát hành: First News - Trí Việt Tác Giả: Herminia Ibarra Ngày phát hành: 2022 Số trang: 240 trang Kích thước: 14.5 x 20.5 cm Nhà xuất bản: