✨Vật Lý 10 - Tuyệt Kỹ Các Thủ Thuật Giải Nhanh Tự Luận - Trắc Nghiệm


















Tuyệt Kỹ Các Thủ Thuật Giải Nhanh Vật Lý 10 Sách tham khảo là bạn đồng hành không thể thiếu đối với các em học sinh. Đặc biệt là các em cuối cấp.Để giúp các em trong việc lựa chọn tập hợp các kiến thức và kỹ năng cần thiết cho kỳ thi quốc gia, tôi biên soạn cuốn sách: “TUYỆT KỸ CÁC THỦ THỦ THUẬT GIẢI NHANH VẬT LÝ 10 (Tự luận và trắc nghiệm)” Tôi hi vọng cuốn sách này là tài liệu bổ ích giúp cho các em ôn thi hiệu quả nhất trong kỳ thi quan trọng sắp tới Sách soạn theo chuyên đề:
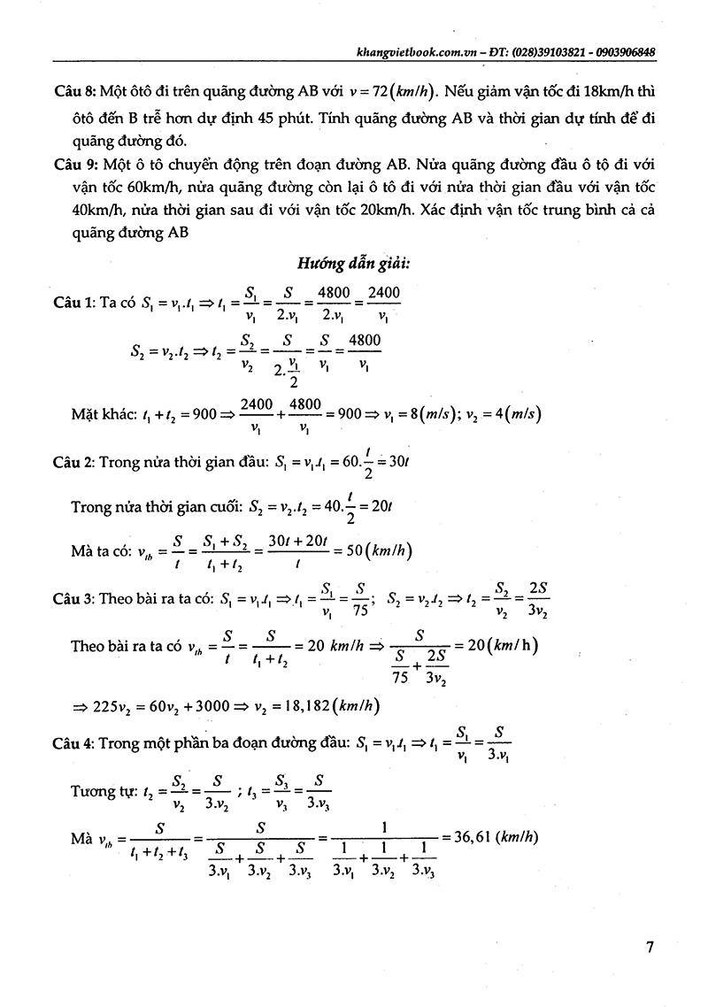
- Tóm tắt lý thuyết và phương pháp giải
- Các dạng bài và hướng dẫn giải chi tiết
- Ôn luyện và hướng dẫn giải toàn chương




Sách - Bài tập tiếng anh 12 Global Success (Kết nối tri thức) - HA Cuốn sách Bài tập Tiếng Anh 12 – Không đáp án được biên soạn theo Chương trình Giáo dục phổ
Phương Pháp Mới Giải Nhanh Bài Tập Trắc Nghiệm Hoá vô cơ Cuốn sách được biên soạn tỉ mỉ, cập nhật những phương pháp giải nhanh nhất, mới nhất các dạng bài tập hóa vô
THÔNG TIN CHI TIẾT - Tác giả : Nhóm tác giả - Nhà xuất bản : NXB Dân Trí - Kích thước : 21 x 30 cm - Số trang : 325 trang - Loại
Kì thi Đánh giá tư duy năng lực của các trường đại học lớn như: Đại học Quốc gia Hà Nội (HSA), Đại học Quốc gia Thành phố Hồ Chí Minh (APT), Trường Đại học
1. Bồi Dưỡng Học Sinh Giỏi Sinh Học 10 Cuốn sách được viết bám sát chương trình Sinh học lớp 10 phổ thông và chương trình sinh học lớp 10. Cuốn sách được trình bày
Tác Giả: Nhiều tác giả Số trang: 275/ cuốn Năm xuất bản: 2023 Khổ sách: 19x27cm Hình thức :bìa mềm
Combo Hướng Dẫn Học Và Làm Bài Ngữ Văn 10 - Tập 1 + tập 2(Bám Sát SGK Kết Nối Tri Thức Với Cuộc Sống) Trong giai đoạn đầu thực hiện chủ trương đổi mới
Sách - Các dạng nghị luận xã hội ngữ văn 9 (dành cho học sinh lớp 9 vào lớp 10 theo cấu trúc đề thi năm 2025) - HA Quý thầy cô và các em
Nội dung gồm có: Phần I: Tuyển chọn đề thi chọn đội dự tuyển thi học sinh giỏi quốc gia Phần II: Tuyển chọn đề thi chọn học sinh giỏi cấp tỉnh, thành phố
Sách - Sách tham khảo lí 12 theo chương trình mới (dùng chung các bộ sgk hiện hành) + ha Tiếp theo cuốn Sách tham khảo VẬT LÍ 10, 11, với tinh thần giúp đỡ
Combo sách tham khảo Toán 12 + Vật Lí 12 + Hóa Học 12 (Theo chương trình GDPT mới) (HA-MK) Tác giả: Nhiều tác giả Công ty phát hành: nhà sách Hồng Ân Số trang:
Biên soạn: PGS. TS. Nguyễn Xuân Trường, ThS. Quách Văn Long, ThS. Hoàng Thị Thúy Hương\ - Số trang: 367 TRANG / CUỐN - Năm xuất bản 2023 - Nhà xuất bản: Đại học quốc
Combo sách tham khảo Toán 12 + Vật Lí 12 + Hóa Học 12 (Theo chương trình GDPT mới) (HA-MK) Tác giả: Nhiều tác giả Công ty phát hành: nhà sách Hồng Ân Số trang:
SÁCH - hướng dẫn học tốt hoá học 11(dùng chung cho các bộ sgk hiện hành) Nhằm giúp đỡ các em học giỏi môn Hoá học ở cấp THPT một cách dễ dàng,tác giả đã
Cuốn sách Giải thích chuyên đề thi vào 10 chuyên Lý nằm trong bộ sách Giải thích chuyên đề thi vào 10 chuyên. Cuốn sách giúp học sinh củng cố lại kiến thức trọng tâm và mở
Combo Hướng Dẫn Trả Lời Câu Hỏi Và Bài Tập Vật Lí 11 + Đề Kiểm Tra, Đánh Giá Vật Lí 11 (Bám Sát SGK Kết Nối) (Bộ 2 Cuốn) 1. Đề Kiểm Tra, Đánh
1 - Sách Tham Khảo Hóa Học 11 (Dùng Chung Cho Các Bộ SGK Hiện Hành) 2 - Bồi Dưỡng Học Sinh Giỏi Hoá Học 11 Theo Chuyên Đề - Tập 1 Hoá Học Đại
CAM KẾT VÀ BẢO HÀNH - Đảm bảo và cam kết sản phẩm đúng với mô tả và hình ảnh của shop. - Đổi trả sản phẩm miễn phí trong vòng 7 ngày nếu sản
Chi tiết: Loại bìa: Bìa mềm Năm: 2025 Tổng quan, cấu trúc và mục tiêu: Bộ đề chuyên sâu ôn thi tốt nghiệp THPTQG từ năm 2025 cho lớp 12: Cập nhật theo
Đột Phá Tư Duy Kì Thi Tốt Nghiệp THPT - Môn Sinh Học SÁCH ĐỘT PHÁ TƯ DUY KÌ THI TỐT NGHIỆP THPT MÔN TOÁN Theo cấu trúc định hướng thi mới năm 2025 của
SÁCH ĐỘT PHÁ TƯ DUY KÌ THI TỐT NGHIỆP THPT MÔN VẬT LÍ Theo cấu trúc định hướng thi mới năm 2025 của BGD Với cấu trúc đề thi mới, các dạng câu hỏi mới
+ Chương trình chuẩn kết hợp theo cả 3 bộ sách: Cánh Diều, Kết Nối Tri Thức với Cuộc sống và Chân trời sáng tạo + Hệ thống kiến thức rõ ràng theo 23 chủ
Nội dung gồm có: Chương 1. Vật lí nhiệt Chương 2. Khí lí tưởng Chương 3. Từ trường Chương 4. Phản ứng hạt nhân - Phân hạch và nhiệt hạch Tác giả: Nguyễn
Các em học sinh lớp 12 thân mến! Học là một quá trình rèn luyện vất vả nhất của đời người. Điều gì vất vả mới có được, thì đó chính là điều mình quý
Trong bối cảnh hội nhập quốc tế, việc học ngoại ngữ, đặc biệt là tiếng Anh, trở nên thiết yếu hơn bao giờ hết. Tiếng Anh không chỉ giúp chúng ta nâng cao năng lực
Nội dung gồm có: Chương 1. Dao động cơ Chủ đề 1. Dao động điều hòa Chương 2. Sóng Chủ đề 2. Sự truyền sóng cơ và các đại lượng đặc
sách - luyện thi cấp tốc môn tiếng anh (dùng chung các bộ sgk hiện hành) Cuốn sách bao gồm các chuyên đề :Ngữ pháp, Từ vựng, Ngữ âm, Kĩ năng giao tiếp, Kĩ năng
Nhằm giúp giáo viên có thêm tài liệu tham khảo trong việc bồi dưỡng, rèn luyện năng khiếu cho học sinh giỏi và giúp các em học sinh có tài liệu tự nâng cao kiến
Tuyệt Kỹ Các Thủ Thuật Giải Nhanh Vật Lý 10 Sách tham khảo là bạn đồng hành không thể thiếu đối với các em học sinh. Đặc biệt là các em cuối cấp.Để giúp các
Cuốn sách “500+ bài tập Hoá học 10: Kiến thức và kĩ năng mấu chốt" bám sát Chương trình Giáo dục phổ thông 2018, nhằm giúp các em tổng kết, hiểu sâu lí thuyết và
ách - Những bài văn đạt giải học sinh giỏi cấp tỉnh - thành phố - toàn quốc (dành cho học sinh thpt) - HA Các em học sinh thân mến! Cuốn sách Những bài
Đây là cuốn sách được biên soạn theo tinh thần thi mới của Bộ Giáo dục và Đào tạo, theo cấu trúc đề thi 3 phần: Kiểm tra kiến thức (câu 1); Nghị luận xã
Sách - Bồi dưỡng học sinh giỏi tiếng anh 10 (dùng chung các bộ sgk hiện hành) - HA Các em học sinh thân mến! Quyển sách “BỒI DƯỠNG HỌC SINH GIỎI TIẾNG ANH 10”
MÔ TẢ SẢN PHẨM Từ Vựng IELTS 8.0 - Từ Vựng Đắt Để Đạt Điểm Cao 4 Kỹ Năng là cuốn sách tổng hợp 15 chủ đề Từ vựng chất lượng giúp bạn đạt điểm
MÔ TẢ SẢN PHẨM Từ Vựng IELTS 8.0 - Từ Vựng Đắt Để Đạt Điểm Cao 4 Kỹ Năng là cuốn sách tổng hợp 15 chủ đề Từ vựng chất lượng giúp bạn đạt điểm
Take Note Toán lớp 10 – Hiểu nhanh, nhớ lâu, áp dụng tốt Take Note Toán lớp 10 – Tổng hợp kiến thức: Hiểu nhanh, nhớ lâu! là một cuốn sách đồng hành không thể
GIỚI THIỆU SÁCH “COMBO BỒI DƯỠNG HỌC SINH GIỎI VẬT LÍ 10” là bộ sách dùng cho học sinh khá giỏi, học sinh các lớp chuyên Vật lí. Về cấu trúc, mỗi cuốn sách đều
Cuốn sách Giải thích chuyên đề thi vào 10 chuyên Tiếng Anh nằm trong bộ sách Giải thích chuyên đề thi vào 10 chuyên. Cuốn sách giúp học sinh củng cố lại kiến thức trọng
Tác Giả: Nhiều tác giả Số trang: 220 Năm xuất bản: 2022 Khổ sách: 19x27cm Hình thức :bìa mềm NXB: NXB Đại học quốc gia Hà Nội Giới Thiệu
500 Bài Toán Chọn Lọc Lớp 10 (Dùng Chung Cho Các Bộ SGK Hiện Hành) 500 Bài Toán Chọn Lọc Lớp 10 (Dùng Chung Cho Các Bộ SGK Hiện Hành) được biên soạn theo chuẩn
Bồi Dưỡng Học Sinh Giỏi Địa Lí 12 (Biên Soạn Theo Chương Trình Giáo Dục Phổ Thông Mới) Sách Bồi dưỡng học sinh giỏi Địa lí 12 được biên soạn để dùng làm tài liệu
Nhà xuất bản: NXB Dân Trí Tác giả: Nhiều tác giả Loại bìa: Bìa Mềm Số trang: 159 Năm xuất bản: 2025 Điểm Cao Và Chinh Phục Ngữ Văn 12 Luyện Thi TN THPT
MÔ TẢ SẢN PHẨM CAM KẾT VÀ BẢO HÀNH - Đảm bảo và cam kết sản phẩm đúng với mô tả và hình ảnh của shop. - Đổi trả sản phẩm miễn phí trong vòng
Bộ sách "Bồi Dưỡng Học Sinh Giỏi Vật Lí Trung Học Phổ Thông - 13 cuốn"nằm trong bộ sách chuyên đề nhiều tập của NXB Giáo dục Việt Nam. Đây là tập sách viết sâu
Sách - Hướng dẫn ôn thi tốt nghiệp THPT môn Ngữ Văn (BÁM SÁT CẤU TRÚC VÀ NỘI DUNG ĐỀ THI MINH HOẠ TỐT NGHIỆP THPT ĐƯỢC BỘ GIÁO DỤC & ĐÀO TẠO CÔNG
Sách - Combo Để học tốt Ngữ Văn 10 - Tập 1 + 2 (Theo SGK Cánh Diều) Gồm 2 cuốn : Để học tốt Ngữ Văn 10 - Tập 1 (Theo SGK Cánh
Thầy cô đang cần một cuốn sách tham khảo gợi mở những ý tưởng sáng tạo, gắn việc dạy – học lịch sử với thực tiễn, phát triển tư duy và đảm bảo các yêu
Thông tin chi tiết: Tác giả: NGƯT. ThS. Lê Hoành Phò Nhà Xuất Bản : NXB Đà Nẵng Số trang : 534 Năm xuất bản : 2022 Giới thiệu sách: Phần 1: Nguyên Hàm
Bí kíp - nắm trọn điểm thi vào 10: Đây là cuốn sách vàng ''giải cứu'' các sĩ tử 2K7 nhằm giúp các em học sinh lớp 9 tự tin chinh phục toàn bộ
Theo chương trình mới, các bạn tiếp cận Toán học với những nội dung gần gũi với cuộc sống và giảm nhẹ các yếu tố hàn lâm. Các bạn cũng được định hướng để phát
Với mục đích giúp các em học sinh làm quen với phương pháp thi mới mẻ này và có được tài liệu chuẩn bị cho kỳ thi sắp tới, tác giả đã xuất bản cuốn
Năng lực đọc hiểu văn bản là một yêu cầu ngày càng trở nên quan trọng đối với con người. Bởi vậy trong nhà trường trung học hiện nay, với môn Ngữ văn, đọc hiểu
Nhằm giúp giáo viên có thêm tài liệu tham khảo trong việc bồi dưỡng, rèn luyện năng khiếu cho học sinh giỏi và giúp các em học sinh có tài liệu tự nâng cao kiến
Sách - Tổng Tập Đề Thi Olympic 30 Tháng 4 Môn Vật Lí Lớp 10 Kì thi Olympic 30 tháng 4 do Sở Giáo dục và Đào tạo, trường THPT chuyên Lê Hồng Phong
Nhằm giúp giáo viên có thêm tài liệu tham khảo trong việc bồi dưỡng, rèn luyện năng khiếu cho học sinh giỏi và giúp các em học sinh có tài liệu tự nâng cao kiến
Nội dung trong sách bám sát chương trình ban Cơ bản phù hợp với kiến thức thi THPT - Quốc gia hiện nay. Sách gồm 18 vấn đề, mỗi vấn đề gồm nhiều dạng bài
Khám Phá Toán 11 Để Học Giỏi - Tập 2 (Dùng Kèm SGK Chân Trời Sáng Tạo) Nối tiếp bộ sách Khám phá Toán 10 để học giỏi gồm 3 phiên bản tương ứng cho 3
THÔNG TIN CHI TIẾT - Tác giả : Nhóm tác giả - Nhà xuất bản : NXB Dân Trí - Kích thước : 21x 30 cm - Số trang : 269 trang - Loại bìa
THÔNG TIN CHI TIẾT - Tác giả : Nhóm tác giả - Nhà xuất bản : NXB Dân Trí - Kích thước : 21 x 30 cm - Số trang : 309 trang - Loại
👁️ 111 | ⌚2025-10-04 06:30:03.383

Combo Người Thành Công Không Bao Giờ Trì Hoãn + Tủ Sách Học Làm Người - Đầu Tư Tương Lai (Bộ 2 Cuốn)

- Trà Ô Long TEA+ Plus là sản phẩm mang thương hiệu Suntory đầu tiên được ra mắt tại thị trường Việt Nam từ tháng 8 năm 2013. Được sản xuất trên quy trình công
Chất dệt tăm mềm mịn, mặc mát không gây nóng bí, gân nhẹ, có độ co dãn đàn hồi vừa phải. Thiết kế có thể biến tấu cực xinh và tiện lợi : đi chơi,
Dettol là nhãn hiệu thuộc sở hữu của tập đoàn Reckitt Benckiser. Hiện tại, Dettol đã trở thành thương hiệu diệt khuẩn nổi tiếng nhất thế giới và có lịch sử phát triển hơn 85
Ưu điểm Rãnh thấm siêu tốc Cải tiến mới giúp nhanh chóng dẫn chất lỏng thấm sâu, lan đều vào lõi bông, giữ bề mặt tã khô thoáng. Vách chống trào kép Ngăn chất lỏng
Gối chống bẹp đầu cho trẻ sơ sinh - giúp định hình đầu cho bé giấc ngủ ngon và trọn vẹn KT gối: 35x23x6cm *** Là một người mẹ ai cũng muốn:
- Bảo vệ an toàn chống xung điện áp cao, xung sét. - Công tắc tích hợp rơ le chống quá tải 15A. - Ổ cắm đa năng sử dụng đồng chuyên dụng siêu đàn
Ưu điểm: Đèn bàn LED Rạng Đông bảo vệ thị lực Chất lượng ánh sáng cao (CRI≥ 80), ánh sáng trung thực tự nhiên tăng khả năng nhận diện màu sắc của vật được chiếu
MÔ TẢ SẢN PHẨM - Khớp nối ống nước van 1 chiều Karcher tương thích với hầu hết các loại ống nước dùng trong gia đình - Phi dùng cho khớp nối thường có phi
Vươn Lên Từ Thất Bại Tác giả Brené Brown, nhà xã hội học lừng danh đã khơi dậy một cuộc luận đàm về giá trị của lòng can đảm, sự dám tổn thương và phẩm cách
Nhân Loại - Một Lịch Sự Tràn Đầy Hi Vọng ------------ Nhân loại, một lịch sử tràn đầy hi vọng đi sâu phân tích những cuộc nghiên cứu về bản chất con người từng được
Nhân Loại - Một Lịch Sự Tràn Đầy Hi Vọng ------------ Nhân loại, một lịch sử tràn đầy hi vọng đi sâu phân tích những cuộc nghiên cứu về bản chất con người từng được
TÁC ĐỘNG THẦM LẶNG - LÀM THẾ NÀO ĐỂ TRỞ THÀNH MỘT NGƯỜI HƯỚNG NỘI THÀNH CÔNG? ĐIỀU GÌ ĐANG CẢN TRỞ BẠN? Nếu bạn là một người hướng nội thì bạn đang thuộc về
Cuốn sách "Thấu Hiểu và Hỗ trợ Trẻ Tự Kỷ" gồm 5 phần chính: Phần 1: Tổng quan về bệnh tự kỷ; Phần 2: Chuẩn đoán và phân loại bệnh tự kỷ; Phần 3: Giải
Combo Sách Hay: Phụ Nữ Lãnh Đạo Bằng Yêu Thương + Thịnh Vượng Tài Chính Tuổi 30 - (Bộ 2 Cuốn Sách / Sách Bán Chạy / Tặng Kèm Postcard Greenlife) Một bản tính cố
Combo Sách Kỹ Năng Hay Nhất Mọi Thời Đại: Đọc Vị Tính Cách + Đọc Vị Bất Kỳ Ai - Để Không Bị Lừa Dối Và Lợi Dụng (Bộ 2 Cuốn Phát Huy "Gíac Quan
Combo 2 Cuốn Sách Gia Đình Hay- Có Một Ngày, Bố Mẹ Sẽ Già Đi+ Mẹ Làm Gì Có Ước Mơ 1/ Có Một Ngày, Bố Mẹ Sẽ Già Đi Càng lớn lên, những quyến
Tác giả Nguyễn Ngọc Hoài Giá bìa 177.000đ Số trang 4 trang Nhà xuất bản Thế Giới Khổ 14x20.5 cm Barcode/ISBN 89352816944 – 97863656350 Trọng lượng 200 grams THẾ GIỚI KHÁC 2: TÌM NHAU TỪ
Trí Tuệ Hoan Hỷ Nội dung sách được chia làm ba phần: Phần Một : Những Nguyên Tắc Chung Khảo sát thực trạng căn bản của chúng ta: bản chất và nguyên nhân những dạng

Combo Người Thành Công Không Bao Giờ Trì Hoãn + Tủ Sách Học Làm Người - Đầu Tư Tương Lai (Bộ 2 Cuốn) Người Thành Công Không Bao Giờ Trì Hoãn - Xua